Статья из Военной Энциклопедии 1932-33 г.г.
Бомбометание. Часть 1

Самиздат: [Регистрация] [Найти] [Рейтинги] [Обсуждения] [Новинки] [Обзоры] [Помощь|Техвопросы]
Ссылки:
Школа кожевенного мастерства: сумки, ремни своими руками Типография Новый формат: Издать свою книгу
 Ваша оценка:


   БОМБОМЕТАНИЕ ( а э р о м е т а н и е ) . Под термином "бомбометание" в период войны 1914-- 1918 понималось выполнение боевой задачи летательными аппаратами (самолетами, дирижаблями) путем сбрасывания бомб (см. Бомбардировочная авиация). Так как в первый период бомбы сбрасывались руками через борт самолета и вероятность попадания была весьма ничтожна, то термин Б. понимался еще как "искусство" сбрасывания бомб, которое постепенно однако заменялось наукой -- аэробаллистикой и теорией метания бомб. В настоящее время с появлением самолетов-бомбардировщиков, могущих производить сильные разрушения благодаря большой грузоподъемности, появлению точных прицелов, увеличению калибра бомб, "искусство" Б. сводится к выучке, и ряд понятий, входивших ранее в термин Б., постепенно получает самостоятельные определения (см. Бомбардировочная авиация, Бомбардирование воздушное), сужая содержание термина Б. до следующего круга вопросов: 1) аэробаллистика, 2) теория бомбометания (методы), 3) ошибки бомбометания.
   Аэробаллистика.
   Аэробаллистика--отдел внешней баллистики (см.), исследующий законы движения авиационной бомбы и влияние на это движение различных внешних факторов (атмосферные условия, скорость возд. судна, форма и вес бомбы).
   Общие з а к о н ы движения ц е н т р а массы а в и а ц и о н н о й бомбы.
   1) Простейшим случаем является движение бомб в б е з в о з д у ш н о м п р о с т р а н с т в е . В этом случае (рис. 1) на бомбу действует лишь сила тяжести;поэтому время Т падения бомбы определяется по следующей формуле
    []
   а относ бомбы, т. е. горизонтальное перемещение бомбы по инерции в направлении движения самолета-бомбардировщика, определяется по следующей формуле
    []
   где w--скорость самолета относительно земли в момент сбрасывания, H--высота сбрасывания, g--ускорение силы тяжести=9,81 м/ск2.
   Из этих формул видно, что время падения зависит лишь от высоты сбрасывания и не зависит от скорости самолета w, a относ прямо пропорционален скорости w . Т. к. в горизонтальном направлении бомба не испытывает никаких ускорений, то скорость ее в направлении полета самолета остается постоянной, и поэтому бомба не отстает от самолета и в каждый данный момент находится вертикально под самолетом. Кривая зависимости времени падения бомбы Т от высоты сбрасывания Н имеет вид, показанный на рис. 2. Т. к. относы равны произведению времен падения на начальную скорость, то кривые относов в зависимости от высот будут иметь подобный же вид.
    []
   2) При сбрасывании бомбы в в о з д у х е на нее кроме силы тяжести действует еще сила сопротивления воздуха, к-рую можно считать направленной по касательной к траектории в сторону, противоположную направлению скорости (рис. 3).
    []
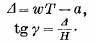
   Вследствие наличия этой силы законы движения бомбы изменятся по сравнению с законами движения в пустоте, а именно: скорость бомбы в горизонтальном направлении будет с момента сбрасывания все время уменьшаться, т. к. сила  [] имеет горизонтальную составляющую  [] , вызывающую отрицательное ускорение в горизонтальном направлении. Вследствие этого бомба будет отставать от самолета в горизонтальном направлении и в момент падения будет видна с него под углом  [] от вертикали, называемым у г л о м о т с т а в а н и я . Величина А, являющаяся разностью между путем самолета за время падения Т и относом а, называется о т с т а в а н и е м :
    []
   Угол  [] , отсчитываемый от вертикали до линии, соединяющей точку падения с положением бомбы в момент сбрасывания, называется у г л о м п р и ц е л и в а н и я :
    []
   Время падения в воздухе будет при прочих равных условиях больше, чем в безвоздушном пространстве, т. к. вертикальная составляющая силы сопротивления [] будет задерживать бомбу в ее падении.
   3) Законы движения центра массы бомбы п р и п о с т о я н н о м в е т р е , дующем горизонтально, выводятся из законов движения в спокойном воздухе применением законов относительного движения. Действительно, т. к. движение самолета включает скорость ветра, то для наблюдателя, находящегося на самолете, все явления будут происходить так, как будто ветра нет. В этих условиях время падения бомбы не изменится, также не изменится отставание А в направлении оси самолета. Поэтому траектория бомбы будет иметь вид, показанный на рис. 4. Здесь wT есть путь самолета за время падения бомбы Т относительно воздуха, движущегося относительно земли со скоростью и; иТ есть путь, пройденный самолетом вместе с воздухом за то же время. Как видно, точка падения бомбы не находится в плоскости метания, и траектория является кривой двоякой кривизны. Угол прицеливания  [] определяется по формуле
    []
   где w--скорость самолета относительно земли, а--угол сноса. Угол  [] , под к-рым видно боковое отклонение  [] из точки сбрасывания, определяется формулой
    []
   Как видно из этих формул, важнейшими баллистич. Элементами для практики являются время полета Т и относ а для безветрия, т. к. они определяют собой все остальные величины. В случае ветра, переменного с высотой, такого простого построения произвести нельзя, и точку падения можно определить только путем вычисления траектории с учетом ветра в каждом отдельном случае.
    []
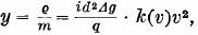
   С о п р о т и в л е н и е в о з д у х а и а э р о д и н а м и ч е с к и е х а р а к т е р и с т и к и б о м б ы . В баллистике полагают, что сопротивление воздуха выражается формулой
    []
   где d--диаметр миделя бомбы, [] --плотность воздуха в единицах массы на единицу объема, F(v)--функция, выражающая зависимость сопротивления от скорости бомбы относительно воздуха, т . н . ф у н к ц и я с о п р о т и в л е н и я , полученная из опытов с определенным снарядом, i--коэфициент формы, характеризующий сопротивление данного снаряда по отношению к принятому закону сопротивления. Функция F(v) возрастает с увеличением скорости, и более удобным является изображать ее в виде
    []
   Функция k(v) обладает следующими свойствами: до скорости v = 240 м/ск она почти постоянна, затем быстро возрастает. Так как при сбрасывании бомб обычно имеют дело со скоростями, не большими 240 м/ск, то k(v) можно считать величиной постоянной: k = 0,137. Во всех вопросах, связанных с движением бомбы в воздухе, руководящим фактором будет не сила сопротивления, а то ускорение у, которое она будет вызывать и которое равно силе, деленной на массу бомбы
    []
   где q--вес бомбы,  [] --плотность, выраженная в единицах веса на единицу объема.
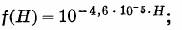
   Плотность Р зависит от высоты и равна плотности у поверхности земли Р0, помноженной на функцию f(H), характеризующую изменение плотности с высотой --высота полета самолета в метрах) :
    []
   Для функции f(H) можно принять следующее выражение:
    []
   таким образом
    []
   Нормальная плотность у земли P0 принимается равной Р0= 1,206 кг/м3, отвечающей условиям: темп-ра t= +15 град., давление Р = 750 мм, относительная влажность 50%. Величину
   []
   во внешней баллистике называют б а л л и с т и ч е с к и м к о э ф и ц и е н т о м . Она является основной характеристикой бомбы по отношению к ускорению силы сопротивления воздуха, и поэтому ее называют а э р о д и н а м и ч е с к о й х а р а к т е р и с т и к о й . Вес бомбы меняется пропорционально кубу калибра, следовательно  [] обратно пропорциональна калибру (диаметру миделя) бомбы или же корню третьей степени из ее веса. Поэтому чем бомба больше, тем  [] меньше и тем условия ее падения ближе к условиям падения в безвоздушном пространстве. В Б. коэфициент  [] определяется из опыта, для чего пользуются двумя методами. Первый состоит в определении сопротивления воздуха путем обдувки в аэродинамической трубе модели бомбы. В прикладной аэродинамике принято следующее выражение для силы сопротивления воздуха:
    []
   где Сх--обдувочный коэфициент лобового сопротивления, S--площадь миделя (в применении к бомбе  [] ) ,  [] --нормальная плотность воздуха, выраженная в единицах массы на единицу объема. Связь между С и  [] следующая:
    []
   Или, если приинять k(v) постоянным, равным 0,137 , то:
    []
   Другой метод определения  [] аналогичен арт. методу нахождения баллистическ. коэффициента при помощи стрельбы. Он состоит в том, что бомба сбрасывается при определенных условиях-- обыкновенно при Н=2 000 м, v = 40 м/ск, причем измеряется время падения Т. Время падения бомбы в воздухе зависит от высоты H, коэфициента  [] и скорости v:
    []
   Но зависимость от v0 чрезвычайно слабая (Т возрастает с увеличением v). Кроме того Т не зависит от постоянного ветра и чрезвычайно мало зависит от переменного ветра. Поэтому за исключением высоты H остальные условия опыта почти не будут влиять на точность определения величины Т. Имея наперед вычисленную зависимость Т от  [] при данных H и v, найдем по определенному из опыта Т отвечающий ему коэфициент  [] . Обычно в виде практич. Характеристики аэродинамич. свойств бомбы применяют время падения ее с H = 2 000 м при v = 40 м/ск. Эта характеристика называется х а р а к т е р и с т и ч е с к и м в р е м е н е м и обозначается  [] . Характеристикой  [] пользуются только при вычислениях. Необходимо учитывать, что для одной и той же бомбы значение  [] , определенное при помощи сбрасывания, выходит всегда несколько большим, чем значение  [] , определенное путем обдувки в аэродинамической трубе. Это объясняется, с одной стороны, тем, что обдуваемые модели имеют более гладкую поверхность, чем действительные бомбы, а с другой, тем, что в действительности ось бомбы вследствие ее колебаний не совпадает с направлением скорости, что вызывает увеличение лобового сопротивления и увеличивает время падения.
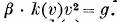
   Из других аэродинамических характеристик бомбы, принятых в иностранных воздушных флотах, надо остановиться на п р е д е л ь н о й с к о р о с т и . Под предельной скоростью понимают скорость, которая достигается бомбой, падающей бесконечно долгое время в среде постоянной плотности, т. е. такой, для которой f(H) = 1. При падении бомбы в среде постоянной плотности возрастание скорости ограничено пределом, при котором ускорение сопротивления воздуха становится равным ускорению силы тяжести g= 9,81 м/ск2. Т. о предельная скорость определяется уравнением  [] . Если, как обычно делают, считать k(v) постоянной, то для предельной скорости получим выражение
   []
   или, для g = 9,81 м/ск2, k = 0,137
    []
   В среде переменной плотности, с которой мы в действительности имеем дело, предельная скорость является величиной фиктивной. Скорость в среде переменной плотности при достаточно большой высоте достигает наибольшей величины, затем начинает уменьшаться вследствие того, что плотность воздуха увеличивается с приближением к земле. Связь между характеристиками  [] приводится в табл. 1.
    []
   А э р о б а л л и с т и ч е с к и е т а б л и ц ы.
   Для вычисления шкал прицельных приборов необходимы следующие элементы: времена падения Т и относы а для различных высот и характеристических времен. Эти элементы вычислены и сведены в т. н. аэробаллистич. таблицы. Расположение аэробаллистич. таблиц следующее: -входное число таблицы--характеристическое время  [] , входные графы: вертикальная-- высота Н, горизонтальная--скорости v0 (в таблицах--и). В таблицах даны относы, а времена падения в виду их слабой зависимости от скорости полета самолета -- лишь для крайних пределов скоростей. Одна из форм аэробаллистич. таблицы представлена ниже (табл. 2).
    []
   К о л е б а н и я а в и а ц и о н н о й бомбы.
   У тел продолговатой формы, как арт. снаряды и корпусы авиационных бомб, сила сопротивления воздуха приложена впереди их центра массы в точке, называемой центром сопротивления (ц. с ) . Поэтому эта сила стремится их опрокинуть (рис. 5).
    []
   Чтобы противодействовать этому опрокидыванию, арт. снарядам сообщают при помощи нарезов угловую скорость относительно оси симметрии. Этот способ стабилизации снаряда неприменим к авиабомбам, и стабилизация последних достигается перенесением центра сопротивления за центр массы,
   м.) путем устройства спец. стабилизатора в хвостовой части бомбы. Стабилизаторы устраиваются обыкновенно двух типов: цилиндрические и крыльчатые (рис. 6).
    []
   В некоторых образцах германских бомб крылья стабилизатора ставятся под некоторым углом к оси бомбы, так что при падении они сообщают ей постепенно возрастающую угловую скорость относительно оси симметрии. Такое устройство стабилизатора обусловлено системой взрывателя, имеющего центробежный предохранитель, а отнюдь не имеет в виду стабилизацию бомбы вращением. У хорошо сконструированной бомбы сила сопротивления вследствие наличия стабилизатора приложена за центром массы бомбы при всех углах  [] между осью бомбы и направлением скорости. Т. о. сила сопротивления стремится возвратить отклонившуюся от этого направления ось бомбы в нейтральное положение (рис. 7).
    []
   При этом бомба приобретает некоторую угловую скорость относительно оси, которая проходит через центр массы перпендикулярно оси бомбы, так называемой э к в а т о р и а л ь н о й о с и, поэтому она не останавливается в нейтральном положении и начинает колебаться. Колебания эти вследствие сопротивления воздуха постепенно затухают. При нейтральном положении ось бомбы не совпадает с направлением скорости, а отстоит от него на некоторый угол вследствие того, что скорость меняет свое положение в пространстве неравномерно. Этот угол тем больше, чем больше угловое ускорение понижения касательной к траектории, по которой направлена скорость, и тем меньше, чем больше возвращающее действие стабилизатора. Возвращающее действие стабилизатора пропорционально его площади, расстоянию его центра тяжести до центра массы бомбы и обратно пропорционально моменту инерции относительно экваториальной оси. Тушащее действие стабилизатора пропорционально его площади, квадрату расстояния его центра тяжести от центра массы бомбы и обратно пропорционально моменту инерции бомбы относительно экваториальной оси. Поэтому для двух бомб подобного устройства и формы возвращающие действия стабилизаторов будут обратно пропорциональны квадратам сходственных размеров, а тушащие действия обратно пропорциональны первым степеням размеров, т. к. при одинаковой средней плотности моменты инерции будут пропорциональны пятым степеням сходственных размеров. Отсюда следует, что в ряде бомб подобного устройства, но разных размеров, относительная длина стабилизатора (выраженная напр. в длине корпуса бомбы) должна возрастать с увеличением размера бомбы. Это увеличение хорошо заметно на серии американских бомб с яйцевидным корпусом.
   Д. Вентцель.
   Смотри далее. Бомбометание. Часть 2

 Ваша оценка:

Связаться с программистом сайта.

Новые книги авторов СИ, вышедшие из печати:
О.Болдырева "Крадуш. Чужие души" М.Николаев "Вторжение на Землю"

Как попасть в этoт список

Кожевенное мастерство | Сайт "Художники" | Доска об'явлений "Книги"