Статья из Технической энциклопедии 1927-34 г.г.
Оптические средства связи

Самиздат: [Регистрация] [Найти] [Рейтинги] [Обсуждения] [Новинки] [Обзоры] [Помощь|Техвопросы]
Ссылки:
Школа кожевенного мастерства: сумки, ремни своими руками Типография Новый формат: Издать свою книгу
 Ваша оценка:


   ОПТИЧЕСКИЕ СРЕДСТВА СВЯЗИ, приборы для передачи сообщений путем посылки на приемную станцию лучей, отражаемых рефлектором передающей станции. Из комбинаций коротких и длинных посылок создается код передачи, аналогичный телеграфной азбуке Морзе (см.). Современные О. с. с. могут быть разделены на три группы:
   1) приборы, посылающие открытые световые лучи, которые принимаются непосредственно глазом наблюдателя приемн. станции;
   2) приборы, посылающие невидимые лучи, для приема к-рых необходимы особые приспособления на приемной станции; 3) группа приборов световой телефонии, где отраженные с одной станции на другую видимые световые лучи меняют свою интенсивность соответственно передаваемым звуковым колебаниям.
    []
   Приборы, работающие открытым лучом, могут иметь источник света либо естественный--солнце, либо искусственный--лампы всякого рода. Прибор, работающий солнечным светом, называется г е л и о г р а ф о м .
   Принцип устройства гелиографа заключается в следующем. Солнечные лучи, падая на плоское зеркало, отражаются от него под углом, равным углу падения (фиг. 1). Если отраженные лучи направить по зрительной линии, соединяющей передающую станцию с приемной, то на последней увидим яркую звезду. Изменяя особым ключом положение отражательного зеркала, можно посылать пучок лучей на приемную станцию либо на короткий либо на более длинный промежуток времени. Дальность действия гелиографа, зависит от диаметра зеркала, яркости солнца и прозрачности атмосферы.
   Имеются гелиографы трех типов: 1) малые диам. 75 мм-- дальность 15 км. 2) средние диам. 140 мм-- дальность 25 км и 3) большие диам. 250 мм-- дальность 60 км. Указанные дальности являются предельными, достижимыми при ярком солнце и сухом воздухе. Т. к. дальность видимости горизонта зависит от высоты точки стояния, то при больших дистанциях гелиограф (как и всякий другой оптический прибор) необходимо устанавливать на высотах или высоких предметах, соответственно дальности работы.
    []
    []
    []
   Г е л и о г р а ф н а я с т а н ц и я состоит из рабочего зеркала, прицела и вспомогательного зеркала, к-рые устанавливаются на треногах. Рабочее зеркало (фиг. 2)--стеклянное с серебряной амальгамой, в центре кружком амальгама выскоблена. Медная оправа зеркала подвешена на вилке а-б, верхняя часть ее шарниром м соединена с трубкой н, в к-рую входит
   винт и. Вращая трубку л, можно изменять положение зеркала в вертикальной плоскости при наводке отраженного луча. Трубка л соединена на шарнире к с рычагом д, который пропущен через скобу ж. Рычаг в спокойном положении отжимается кверху пружиной х. Для посылки луча на приемную станцию за пуговку п нажимают рычаг книзу. Вся система укреплена на коробке в с патрубком, надеваемым на треногу штыковым затвором. Для горизонтальной наводки коробка может свободно поворачиваться при помощи микрометрического винта р. Прицел коленчатый (фиг. 3), служит для наводки отраженных лучей в том .случае, когда солнце находится впереди рабочего зеркала. Прицел надевается на треногу при помощи коробки примерно такого же устройства, как и гелиографная. Щиток д имеет пятнышко-мушку о. При правильно установленном гелиографе тень от кружка в центре рабочего зеркала должна приходиться на щитке и при нажатии ключа совпадать с его мушкой. Этим регулируется правильность наводки. Если солнце сзади рабочего зеркала, то взамен прицела .на ту же коробку надевают вспомогательное зеркало такого же диаметра, что и рабочее. Луч т. о. отражается дважды. Угол наклона зеркала, подвешенного также на вилке, изменяется микрометрическим винтом, поворачивается же зеркало при помощи винта соединительной коробки. Рабочее зеркало при работе всегда устанавливают лицом к приемной станции, а прицел ставят так, чтобы, стоя впереди и сбоку зеркала, видеть центр зеркала, прицел и приемную станцию на одной линии. Затем изменяют наклон зеркала так, чтобы тень от пятнышка в центре зеркала падала при нажатии ключа на мушку прицела. При работе с вспомогательным зеркалом, зеркало устанавливают против солнца, чтобы центр его совпадал в рабочем зеркале с центром последнего и с отражением приемной станции при нажатии ключа. Так как положение солнца относительно точки стояния гелиографа меняется, то необходимо во время работы исправлять положение рабочего зеркала, поворачивая его при помощи микрометрического винта коробки и наблюдая, чтобы тень от центра его всегда попадала на мушку прицела или вспомогательного зеркала.
   Гелиограф отличается простотой устройства и эксплоатации и позволяет устанавливать связь через недоступные пространства. Однако он может работать только днем при ярком солнце (ночью в полнолуние можно работать светом луны, не далее 3--4 км); на открытой местности месторасположение станции легко м. б. обнаружено и передача перехвачена. В виду этого гелиограф применяется лишь как вспомогательное средство связи, главным образом в южных гористых и степных областях.
    []
   Простейшим прибором для работы искусственным источником света является л а м п а Манжена; она может заменить гелиограф ночью (фиг. 4).
   Керосиновая лампа В устанавливается в заднем отделении железного ящика. Лучи лампы отражаются небольшим рефлектором п, проходят через окошечко перегородки Н и собираются в параллельный пучок линзой Б. Окошечко перегородки закрывается заслонкой б, к-рая открывается и закрывается особым ключом и. Манипулируя этим ключом и посылают сигналы на приемную станцию. Для наводки лампы в верхнем левом углу помещается подзорная труба, ось которой параллельна пучку лучей, посылаемых лампой.
   Лампа Манжена работает только ночью на небольшие расстояния, не более 15 км при благоприятных условиях. Поэтому в настоящее время она заменяется более совершенными сигнальными приборами, позволяющими вести работу как днем, так и ночью.
   В приборах современного устройства в качестве рефлекторов применяются небольшие параболич. зеркала высокого качества с тщательной шлифовкой рабочей поверхности. Источником света служат электрич. лампочки особого типа с точечной нитью накала, с быстрым загоранием и затуханием, питаемые от элементов, аккумуляторов или от маленьких динамо. Дальность действия этих приборов зависит от силы источников света, диаметра рефлектора, прозрачности атмосферы и основывается на следующих расчетах. Исходным числом для всех расчетов служит чувствительность нормального глаза к световым впечатлениям. Считается, что хороший глаз на расстоянии 1 км ночью в совершенно прозрачном воздухе еще видит 0,1 св. При этом освещенность глаза выразится в  [] что и является предельной освещенностью, чувствуемой глазом, для белого цвета ночью. Освещенность при непрозрачном воздухе выражается ф-лой:
    []
   где Ео-- Освещенность без поглощения света средою, х--расстояние от источника света, а---определенный коэф. поглощения света.
   В свою очередь
    []
   Здесь Ео есть освещенность при лучах, падающих нормально на освещаемую поверхность, а I--сила света источника в свечах;
   отсюда:
    []
   Величина т может служить мерою прозрачности среды, так как коэфициент а характеризует способность среды поглощать свет.
   Если
    []
   То  []
   В среднем для расчетов следует брать а = 0,1 или т = 0,9. Дальность действия оптических сигнальных приборов возрастает вместе с силой света источника, но во много раз медленнее ее. Гораздо большую роль в отношении дальности играет диаметр рефлектора и отношение этого диаметра к диаметру светящейся в центре его точки. Грубо можно принять (применительно к теории прожектора), что усиливающая способность рефлектора светосигнального прибора равна квадрату отношения диаметра рефлектора к диаметру светящейся спирали лампочки:
    []
   При дневном освещении чувствительность глаза уменьшается во много раз. По закону Фехнера с увеличением источника возбуждения степень ощущения возрастает не пропорционально возрастанию возбудителя, а пропорционально логарифму возбудителя. Вместе с уменьшением чувствительности глаза возрастает наименьшая освещенность, еще чувствуемая глазом. Днем наименьшая освещенность, чувствуемая глазом, ок.  [] т. е. днем глаз в 400 раз менее чувствителен, чем ночью. Опыт показывает, что светосигнальный прибор днем работает на расстояние в три раза меньшее, чем ночью. Образцами сигнальных приборов могут служить англ. прибор Люкас и герм. приборы" Цейсса.
    []
    []
   Лампа Люкас (фиг. 5 и 6) представляет собою ципиндрич. фонарь А, в заднюю стенку которого вправлено параболич. зеркало В диам. 10 см. Внутри сбоку имеется ламподержатель Г из двух пружин, к-рыми удерживается электрич. лампочка с цоколем в виде рюмки. Ламподержатель расположен так, что нить вставленной в него лампочки приходится как раз в фокусе зеркала. Передняя сторона фонаря закрывается стеклянной крышкой О в железной оправе, закрепляемой на фонаре штыковым затвором. Под крышку на выступы стенок фонаря подкладывается при работе на небольшие расстояния штора И из двух железных дисков, с шестью круглыми отверстиями. Передний диск рычажком, проходящим через вырез в стенке фонаря, может поворачиваться на шпиньке Ш, причем отверстия заднего диска могут быть вовсе закрытыми либо открываются на желаемую ширину вплоть до совмещения отверстий обоих дисков. Этим достигается регулирование интенсивности света лампы в зависимости от дальности работы, так как излишняя дальность облегчает перехватывание. К заднему диску прикреплена заслонка з, перехватывающая непараллельно расходящиеся лучи, чем уменьшается рассеивание, также облегчающее перехват. Под стекло для изменения света могут подкладываться цветные целлюлоидные диски (красный, зеленый и оранжевый). Сверху на фонаре закрепляется визирная трубка В; ось ее параллельна оси фонаря, передний конец трубки имеет крестообразную щель, а задний-- окошечко для прицеливания. В деревянном ящике, служащем также и для укладки фонаря, помещается батарея сухих элементов, соединительный шнур от нее идет к ламподержателю. На крышке этого ящика прикреплен ключ Морзе; при помощи к-рого производится замыкание и размыкание тока. Фонарь для работы устанавливается на треногу или на втыкаемый в землю стержень. Ослабив при этом стопорный винт Н, можно поворачивать фонарь и придавать ему требуемый наклон при наводке. Данные прибора Люкас см. ниже в таблице.
    []
    []
   Герм, лампа Цейса с зеркалом диам. 10 см (фиг. 7) состоит из цилиндрического фонаря укрепленного на ящике с батареей. Фонарь внутренней перегородкой разделен на две части; в передней части к перегородке прикреплено стеклянное параболическое зеркало 1. Перед зеркалом закреплена неподвижно горизонтальная полочка ламподержателя 2, в круглый вырез полочки вставлен вертикальный патрон, в который ввинчивается лампочка 3. В стенку фонаря сбоку вставлен прицел так, что он наполовину входит внутрь, а наружный конец его расположен в поле зрения визирного кольца. Свет от лампочки отражается на матовом круглом стеклышке, вправленном в наружный выступ прицела со стороны визирного кольца. В тыловой части фонаря размещаются при перевозках соединительный шнур с грушевидной кнопкой 4 для замыкания тока, запасные лампочки и цветные диски. Передняя часть фонаря закрывается дверцей, которая вместе с тем является затемняющей шторой. Штора состоит из двух дисков, в каждом вырезаны два сектора. Один диск неподвижен, а другой при помощи выступа 5 может поворачиваться и совершенно закрывать секторы неподвижного диска или открывать их на желаемую величину. Под шторой находится откидное фасонное кольцо 6 с выступом, к-рое служит для вставления в него цветных стеклянных дисков при сигнализировании разными цветами. Лампа для работы устанавливается на какой-нибудь местный предмет или при помощи патрубка закрепляется на воткнутом в землю шесте. Данные--см. выше в "таблице
    []
   Описанные 10-см приборы в виду своей портативности и простоты устройства применяются в передовых районах для связи в роте, батальоне и полку как средство, дублирующее телефонную связь, которая в этих районах часто повреждается от обстрела, или когда невозможно протянуть телефонные линии, напр., через водные пространства, горные ущелья и т. п.
   Образцом светосигнального прибора дальнего действия является лампа Цейсса с зеркалом диаметра 25 см (фиг. 8).
   В задней части фонаря прожекторного типа помещается прикрепленное к стенке параболическое стеклянное зеркало. Ламподержатель 1 такого же устройства, что и в малой лампе Цейсса. Сила светового потока также регулируется при помощи крышки-шторы 2, которая позволяет устанавливать 7 различных степеней силы светового потока. Фонарь может поворачиваться в вертикальной плоскости на вилке 3 при помощи микрометренной передачи 4. Для точной горизонтальной установки служит уровень 5.
   Фонарь надевается муфтой на стержень треноги и может вращаться на нем на 360R. Для закрепления фонаря в желаемом положении служит зажимной винт 6. При помощи микрометренной передачи 7, 8, служащей для точной установки лампы, можно указатель, имеющийся на верхнем круге, установить на определенное деление. Грубое направление дается лампе при помощи визирного приспособления 9. Для более точной наводки служит зрительная трубка и призма 10, при помощи которой достигается точная наводка тем, что в поле зрения трубы изображение накаленной нити лампы налагается на изображение приемной станции. Ток подводится к лампочке посредством соединительного шнура с двумя штепселями. Ключом для передачи сигналов служит ручной выключатель, при нажиме на пружину которого замыкается ток. Данные--см. в таблице. Прибор в 25 см применяется для связи между отрядами, разделенными непроходимыми преградами, напр., в горной войне как средство связи, заменяющее или дублирующее радио. Работа прибора Цейсса легко м. б. перехвачена со стороны, т. к. несмотря на малый угол рассеивания (2R) полоса видимости сигналов на больших расстояниях все же будет велика. Чтобы избегнуть этого, в приборе Цейсса пользуются красными фильтрами, к-рые настолько ослабляют свет, что сигналы можно принимать только через бинокулярную трубу с 15-кратным увеличением, снабженную также красными светофильтрами. Как известно, чувствительность глаза особенно велика к желто-зеленым лучам спектра: в десятки раз больше, чем к красным лучам. Зато энергия посылаемых лампою накаливания красных лучей в два раза более, чем желтых. В результате, если мы будем посылать лишь красные лучи, они пройдут значительное расстояние, но не м.б. обнаружены невооруженным глазом. Для наблюдения за такими сигналами необходимо пользоваться двойной трубой с 15-кратным увеличением, с объективом диам. в 60 мм, к-рая устанавливается на треноге. Труба снабжается красными светофильтрами и наглазниками к окулярным раковинам, не допускающими постороннего света в глаза во время наблюдения. Дальность такой секретной передачи для 25-ом лампы Цейсса до 15 км.
   Передача сигналов при помощи оптич. приборов открытым лучом имеет следующие недостатки: 1) легкость обнаруживания противником и, как следствие, возможность перехватывания работы или уничтожения самой оптич. станции,2) медленность передачи, 3) зависимость от атмосферных условий и 4) возможность только телеграфной передачи, но не телефонной.
    []
    []
   Попытки использовать отраженные лучи и для телефонирования начались еще задолго до войны 1914--18 гг. Принцип телефонии при помощи световых волн заключается в следующем.
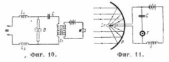
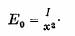
   На передающей станции в фокусе параболич. зеркала Р помещается сильный источник света, напр., специального типа лампочка накаливания S (фиг. 9). Этот источник света включается последовательно с батареей и вторичной обмоткой трансформатора Тг, первичная обмотка к-рого включена в цепь микрофона М. На приемной станции пучок лучей собирается и концентрируется в фокусе параболического зеркала, где помещается какой-либо фотоэлемент F, изменяющий свое сопротивление в зависимости от степени его освещенности. Фотоэлемент включается в цепь батареи последовательно с телефоном Т. При разговоре перед микрофоном М передатчика ток в цепи / будет изменяться, следуя звуковым колебаниям, и в цепи II будет индуктировать переменный ток той же частоты. Эта переменная слагающая тока будет воздействовать на световой источник S, яркость которого будет изменяться соответствующим образом. Вследствие этого будет изменяться и освещенность фотоэлемента на приемной станции, а следовательно и сопротивление последнего. Через телефон потечет ток звуковой частоты и будет слышна речь, произносимая перед микрофоном. Наиболее совершенные передатчики были сконструированы по этому принципу при использовании в качестве светового источника поющей дуги (см.). Если в цепь питания дуговой лампы D постоянного тока включить через трансформатор микрофон М (фиг. 10) и батарею, то дуга будет воспроизводить все произносимые перед микрофоном звуки; последнее объясняется соответствующим изменением объема пламени дуги, приводящим в гармоническое движение частицы окружающего воздуха. Интенсивность света дуги при этом тоже меняется, следуя за колебаниями мембраны. Катушки L1 и L2 служат для того, чтобы токи звуковой частоты не шунтировались через цепь питания. Конденсатор С служит защитой для цепи высокой частоты от постоянного тока питания и уменьшает кажущееся сопротивление ее для микрофонных токов, индуктируемых через трансформатор. В приемнике в качестве фотоэлемента пользуются селеном, который в кристаллич. состоянии обладает способностью изменять свою электрич. проводимость в зависимости от освещенности, причем с увеличением освещенности увеличивается и проводимость его. В виду малой проводимости селена, для уменьшения сопротивления фотоцепи, целый ряд селеновых элементов соединяют параллельно в один общий элемент Se, который заключают в стеклянный баллон, помещаемый в фокусе параболич. зеркала Р (фиг. 11). В цепь телефона, для улучшения отдачи, включают конденсатор С, а в цепь батарей--предохранительную катушку L.
  
   С в е т о в а я т е л е ф о н и я открытым лучом устраняет недостаток обычной световой сигнализации в отношении возможности телефонирования и отчасти секретности, ибо перехватить передаваемое нельзя; но демаскировка станции вследствие видимости луча все же остается. Поэтому во время войны 1914--18 гг. появились оптические приборы, пользующиеся для передачи телеграфных сигналов и речи невидимыми лучами спектра--инфракрасными и ультрафиолетовыми.
   В приборах, работающих инфракрасными лучами, в качестве источника света в передатчике пользуются преимущественно вольтовой дугой с металлизированными углями, имеющей t 3500-- 4 000 град; длину дуги делают возможно короче. Для легких переносных станций, располагающих для питания источниками небольшой силы тока, применяются специальные лампы накаливания с нитью из вольфрама напряжением 6--8 V. Лампы наполняются азотом или неоном. Нить большого сечения помещена в фокусе параболич. зеркала прожектора. Прежде чем покинуть прожектор, пучок лучей проходит через фильтр-экран, задерживающий целиком все видимые лучи спектра. Этот экран сделан из стекла с примесью окиси марганца, закиси меди или других веществ и имеет свойство пропускать лучи с большими длинами волн (инфракрасные). Передатчик снабжен заслонкой, помещенной между источником света и зеркалом, чтобы по желанию можно было прекращать излучение невидимых лучей и т. о. подавать сигналы по азбуке Морзе. Передатчик и приемник снабжены прицельным приспособлением для наводки. Дальность действия передатчика зависит от t источника светаи диам. зеркала. Переносные передатчики, имеющие диам. 26 см и лампочку с азотом мощностью 40--50 W, действуют на расстояние до 2 км.
   Чтобы установить связь между станциями на расстояние до 6 км, берут тот же прожектор, но уже с дуговой лампой, питаемой переносным электроагрегатом. Для связи на больших расстояниях (20 км) используют нормальные сухопутные или морские прожекторы с диам. зеркал 60--150 см, придавая передатчику экран-фильтр. Приемник представляет параболич. зеркало, к-рое концентрирует полученный пучок лучей в своем фокусе. Прием может производиться двояко: он м. б. видимым или слышимым.
  
    []
    []
   В системе видимого приема (Шарбоно, фиг. 12) бумажная лента i, покрытая сернистым цинком, провертывается в фокусе приемного зеркала. Свет электрич. лампочки k в 10 V, пропущенный через особый жидкостный с растворим медного купороса экран l, пропускающий только волны ультрафиолетовые, интенсивно освещает ленту и вызывает флуоресценцию ее поверхности. Инфракрасные лучи, посланные по коду Морзе и собранные зеркалом h, отмечаются на ленте темными точками и черточками от прекращения флуоресценции. По описанной выше системе можно работать одинаково и днем и ночью. Лента движется перед фокусом при помощи часового механизма. Все приемное устройство смонтировано в фонаре прожектора, закрытого спереди черным стеклом, которое создает в фонаре темноту, необходимую для чтения днем по флуоресцирующей ленте.
   Фонарь приемника снабжен прицельным приспособлением о и изогнутой трубой р для наблюдения за получаемыми сигналами. Примерное устройство переносного отправительного прибора Шарбоно показано на фиг. 13, где а--рефлектор, b--отправительная лампа, с--фильтрующий экран, d--заслонка-манипулятор, е--футляр прожектора, f--круг с делениями для наводки, g-- прицельное приспособление. Можно фиксировать получаемые сигналы путем фотографирования их. Для этого располагают между фокусом приемного зеркала и экраном лампочки приспособление, позволяющее протягивать против светящейся ленты другую, покрытую светочувствительной эмульсией. Прибор Шарбоно применялся во франц. армии и флоте и давал дальности 2--30 км в зависимости от диаметров зеркал передающих и приемных.
   В системе слухового приема по методу Шарбоно в фокусе приемного зеркала помещают термоэлектрич. пару большой чувствительности и малой инерции, отзывающуюся на изменения темп-ры. Такая пара состоит из платинового диска, прикрепленного ребром к никелевой подпорке; небольшой кристалл теллура, припаянный к другой никелевой подпорке, удерживается в центре платинового диска, легкое спаивание в этом месте обеспечивает хороший контакт. Когда инфракрасные лучи нагревают термоэлемент, то в замыкающем его контуре проходит ток. Ток, генерируемый термоэлементом при помощи вибрирующего приспособления, прерывается с акустич. частотой и проходя через усилитель дает в телефоне звуки, обладающие музыкальной тональностью. Недостатком этого способа является сравнительная медленность передачи, т. к. время нагревания и охлаждения термоэлемента занимает промежуток порядка 0,2 сек. В настоящее время взамен термоэлёктрич. элемента в той же системе применяют фотоэлектрич. элементы более чувствительные и с меньшей инерцией.
   При помощи инфракрасных лучей осуществить телефонную передачу до сих пор не удается. В этом отношении могут быть использованы ультрафиолетовые лучи.
   Генератором ультрафиолетовых лучей в передатчике служит ртутная кварцевая лампа, наполненная аргоном, снабженная приспособлением для автоматич. зажигания. Цвет дуги зеленовато-желтый. Для поглощения видимых лучей применяется фильтрующий экран Вуда из стекла с примесью окиси никеля, вполне прозрачный для ультрафиолетовых лучей. Газообразная дуга лампы чувствительна к малейшим колебаниям напряжения у ее зажимов. Параллельно дуге через усилитель включается микрофон; при такой схеме на ток, питающий дугу, налагается подвергшийся усилению ток микрофона. Приемник состоит из линзы, которая концентрирует собираемые ею лучи на поверхности натриевого фотоэлемента. Натриевый фотоэлемент состоит из дискообразного баллона из кварца, внутри которого создан вакуум. На одной из внутренних поверхностей баллона осаждают посредством охлаждения слой частиц натрии в металлическом состоянии. Против этой поверхности расположена решетка из никеля, которая служит положительным электродом элемента, а отрицательным является металлизированная поверхность баллона. Если приложить к электродам фотоэлемента нек-рое постоянное напряжение, то протекания тока наблюдаться не будет. Как только на металлизированную поверхность упадет пучок ультрафиолетовых лучей, даже весьма незначительной интенсивности, эта поверхность начнет излучать электроны, и во внешней цепи элемента начнет протекать ток. Эта эмиссия электронов в точности воспроизводит изменения интенсивности падающего на фотоэлемент потока ультрафиолетовых лучей, вызывая соответствующие колебания потенциала катода элемента. Эти колебания воздействуют на телефон после предварительного усиления.
   Дальности, достигнутые сигнализацией ультрафиолетовыми лучами, ночью при достаточной прозрачности воздуха значительны; днем дальность передачи уменьшается в виду обилия посторонних ультрафиолетовых лучей, которые понижают чувствительность Фотоэлемента. При неблагоприятных атмосферных условиях дальность действия значительно понижается. В густой туман прием становится невозможным даже и на близких расстояниях. Включая на передающей станции вместо микрофона ключ Морзе, можно пользоваться теми же приборами для телеграфии, при этом дальность передачи возрастет.
   Невидимые лучи могут иметь применение во флоте: а) для связи между отдельными судами, б) для связи корабля с берегом и обратно, в) как средство для обнаруживания корабля, проходящего через пучок лучей между двумя станциями, г) как средство обнаруживания приближающегося корабля или айсберга (тепловые лучи). В сухопутной армии сигнализация невидимыми лучами может служить для замены сигнализации открытым лучом в тех случаях, когда нужно установить вполне секретную и надежную связь между двумя важными пунктами.
   Если сравнить между собой инфракрасные и ультрафиолетовые лучи, то первые менее зависимы от атмосферных условий; при той же мощности источников питания и диаметрах зеркал инфракрасные лучи имеют большую дальность, чем ультрафиолетовые, и наконец ультрафиолетовые лучи имеют большее рассеивание и присутствие их м. б. обнаружено фотографич. путем. Таким образом в отношении устройства военной связи преимущество к данному моменту на стороне инфракрасных лучей. Работы, ведущиеся во всех странах как с теми, так и с другими лучами, показывают, что последнего слова в этой области не сказано. В дальнейшем мысль несомненно будет работать как в направлении изыскания способов использовать инфракрасные лучи для телефонии, так и в направлении создания генератора, богатого одновременно и инфракрасными и ультрафиолетовыми лучами, чтобы в одном приборе сочетать выгоды тех и других.
   Лит.: Б е л е н ч е н к о В., Руководство для чинов воен. телеграфа, гл. 1--4, СПБ, 1896; А н д р е е в А..Телеграфно-телефонные и оптическ. Сообщения в армии, СПБ, 1906; К р и т с к и й М., Телеграфно-телефонное дело, отд. 8, СПБ, 1908; Ш в а р т е М., Техника в мировой войне, гл. 5 и 10, пер. с нем. М.-- Л., 1927; Н о в и к о в М. В., Полевой гелиограф, М., 1924; е г о ж е, Полевой оптич. Светосигнальный аппарат Магокена, М., 1923; его ж е, Оптич.сигнальный аппарат Цейсса с зеркалом 250 мм, М., 1923; Г у с е в А., Светосигнальный аппарат Цейсса (диам.10 см), М., 1927; Г у с е в А., Светосигнальный аппарат Люкас, М., 1927; С л ю с а р е в Н., Светосигнальный аппарат Люкас системы Барбье, Бенар, Тюррен, М., 1930; К о р о л ь к о в А. Л., Нек-рые данные к расчету оптич. сигнальных приборов, "Техника и снабжение Красной армии", М., 1924, 241137; Г у с е в А., Светосигнальные приборы герм, конструкции, "Война и техника", М., 1926, 193; Э л ь с н и ц А. Г. и М о р о з о в Г. Г., Новые герм, светосигнальные приборы Цейсса 250 и 100 мм, там же, 1925, 3d--35; Ю р а с о в Е., Электрич. и световые, свойства светосигнального аппарата Цейсса 100 мм, там же, 1926, 46--47; Е. Ю., Телефония без проводов при помощи световых лучей, там же, 1927, 3; X а щ и н с к и й В. П., Применение излучений невидимых лучей спектра в военном и морском деле, "Морской сборник", Л., 1929, 10; Z i e k I ег, Problem d. Р1ноto-Telephonie, "Elektrotecnnik u. Maschinenbau", W., 1928, 29, 30; M i c h e l e t t a C, L'impiego delle radiazione oscure dello spettro nei collegamenti del campo di battaglia, "Rivista di Artiglieria e Genio", Roma, 1929, 11; G- u a s с о G., Comunicaziani senza filo e coinendo elettromeccanico a distanza, ibid., 1925.
  

 Ваша оценка:

Связаться с программистом сайта.

Новые книги авторов СИ, вышедшие из печати:
О.Болдырева "Крадуш. Чужие души" М.Николаев "Вторжение на Землю"

Как попасть в этoт список

Кожевенное мастерство | Сайт "Художники" | Доска об'явлений "Книги"