Статья из Технической Энциклопедии 1927-34 г.г.
Огнеметы

Самиздат: [Регистрация] [Найти] [Рейтинги] [Обсуждения] [Новинки] [Обзоры] [Помощь|Техвопросы]
Ссылки:
Школа кожевенного мастерства: сумки, ремни своими руками Типография Новый формат: Издать свою книгу
 Ваша оценка:


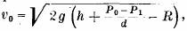
   ОГНЕМЕТЫ, пламеметы, приборы, выбрасывающие струи легковоспламеняющейся жидкости на расстояние от 15 до 200 м. Выбрасывание производится силою сжатого воздуха, азота, углекислоты, водорода или пороховых газов. Жидкость зажигается при выходе из брандспойта (металлич. наконечник выбрасывающего рукава, шланга) автоматически действующим зажигателем. Горючие жидкости, применяемые для огнеметания, представляют собою смеси различных легковоспламеняющихся жидкостей: смесь нефти, бензина и керосина; смесь легкого каменноугольного масла с бензолом; раствор фосфора в сероуглероде и др. Рабочее действие определяется дальностью выбрасывания горящей струи и временем ее горения. Дальность струи обусловливается начальной скоростью истекающей жидкости и углом наклона наконечника. Применяя закон баллистики (см.), дальность струи Р определяют из ф-лы
    []
   где v0--начальная скорость жидкости при выходе ее из наконечника,  []--угол наклона наконечника к О. и g--ускорение струи под влиянием силы тяжести. Приведенная ф-ла показывает, что дальность струи Р изменяется как квадрат начальной скорости v0, к-рая характеризуется высотой h жидкости в резервуаре, давлением Ро , к-рое испытывает жидкость в резервуаре, и давлением Р1 , к-рое испытывает жидкость при выходе из наконечника. По ф-ле Бернулли начальная скорость
    []
   где d--уд. в. жидкости, R--сопротивление трубопровода, давление Ро находится в тесной связи с диам. выходного отверстия наконечника, от величины к-рого зависит дальность струи. Установлено, что например при диам. отверстия в 20 мм давление не должно превышать 17--18 кг/см2, т. к. в противном случае жидкость начинает пульверизировать и дальность струи уменьшается, Р1--атмосферное давление, является величиной постоянной. Т. о. основным фактором, обусловливающим дальность струи, является давление и сопротивление трубопроводов. Угол наклона наконечника практически принимают не больше 15 град.
   В войну 1914--1918 г. применялись О. двух типов: ранцевые (малые и средние) и тяжелые (полутраншейные, траншейные и крепостные). После войны появился третий тип О.--фугасный.
    []
   Р а н ц е в ы й О. (фиг. 1) представляет собою стальной резервуар а овальной или цилиндрической формы; полная емкость 15--20 л. Через кран б резервуар наполняется на 3/4 горючей жидкостью и на 1/4 сжатым газом. В нек-рых системах давление создается путем выпуска сжатого газа из особого маленького баллончика, вставляемого перед работой в резервуар; в этом случае ударник баллончика выходит наружу через крышку резервуара. Резервуар рассчитан на давление до 50 atm, рабочее давление 12--20 atm. При открывании крана при помощи рукоятки в жидкость через гибкий резиновый шланг г и металлический брандспойт д выбрасывается наружу и приводит в действие автоматич. зажигатель е. Зажигатель представляет собой коробку с рукояткой. В передней части на шарнирах укреплена стойка с крышкой. С нижней стороны крышки приклепан крючкообразной формы нож-ударник, служащий для разбивания ампулки с серной кислотой. При выходе из брандспойта струя жидкости ударяет в стойку зажигателя, которая опрокидывается и увлекает за собой крышку; ударником крышки разбивается ампулка с серной к-той. Серная к-та, действуя на паклю , смоченную бензином и посыпанную зажигательным порошком, дает огонь, и вытекающая жидкость, воспламенившись, образует огненную струю. Дальность полета струи 15--35 м, время непрерывного действия 20--40 ск., с перерывами (короткими струями)--до 2 мин. Ранцевый О. переносится при помощи ремней за плечами. Направление струи жидкости дается при помощи прикрепляемой к брандспойту рукоятки управления ж. Можно управлять струей держась руками непосредственно за брандспойт. Для этого в некоторых системах выпускной кран имеется на самом брандспойте. Вес порожнего ранцевого О. (со шлангом, краном и брандспойтом) 11--14 кг, снаряженного 20--25 кг.
    []
  
   Т я ж е л ы й О. (фиг. 2) представляет собою железный резервуар а с дугообразной выводной трубой б, краном в, рукояткой крана г и скобами д для переноски вручную. Высота его 1 м, диаметр 0,5 м. Полная емкость 200 л, полезная--160 л. Сжатый газ находится в особой бутыли е и при помощи резиновой соединительной трубки ж, тройника з и манометра и подается в резервуар во все время действия О., т. о. в резервуаре поддерживается постоянное давление (10-- 13 atm). К крану присоединен толстый брезентовый шланг к длиной 8,5 м. Брандспойт л с рукояткой управления м и зажигателем н при помощи подъемного приспособления о подвижно укреплен в металлич. штыре п. Зажигателем в тяжелом О. может служить такое же приспособление как и в ранцевом О., или же зажигание производится электрическим током. Вес порожнего тяжелого О. (без шланга и подъемного приспособления) ок. 95 кг, снаряженного--ок. 192 кг. Дальность полета струи 40--60 м, сектор поражения 130--180 град. Время непрерывного действия ок. 1 мин., с перерывами--до 3 мин. Обслуживается семью человеками. Характеристика и основные данные О. различных государств указаны выше в таблице.
    []
  
    []
   Ф у г а с н ы й О. (фиг. 3) состоит из железного цилиндра а и поршня б. На сопло в надевается терочный зажигательный патрон г, а в зарядник д вкладывается пороховой выбрасывающий патрон е с электрич. запалом ж. К запалу присоединен электрический или спец. саперный провод з, протянутый на расстоянии 1 1/2--2 км к источнику электрич. тока и. При помощи штыря к фугасный О. укрепляется в земле. Вес порожнего фугасного О. ок. 16 кг, снаряженного--ок. 32,5 кг. Пороховые газы, получающиеся при сгорании выбрасывающего патрона, толкают поршень и выбрасывают жидкость наружу. Время действия 1--2 ск. Дальность полета струи 35--50 м. Фугасные О. устанавливаются на местности группами от 3 до 10 штук. Одной подрывной машиной можно подорвать одновременно до 20 фугасных О.
   О. применяются в оборонительных боях с целью нанесения непосредственных потерь атакующему противнику, а также для морального воздействия на него. С большим успехом О. могут применяться в особых условиях боя (в населенных пунктах, в горах, в борьбе за речные преграды и др.).
   Лит.: С у х а р е в с к и й М., Основы огнеметного дела, Москва, 1924; Руководство для командного состава по обращению и пользованию огнеметами, М.--Л., 1927; Л е ф е б ю р В., Загадка Рейна, пер. с англ., стр. 49--50, 77--78, М., 1926; Ф р а й с А. и В е с т К., Химич. война, пер. с англ., 2 изд., М., 1924; Т е й н е X., Ударные войска и огнеметы, пер. с нем., М., 1927; С а в и ц к и й И. И., Огнеметы, Техника химич. нападения, стр. 73--90, М., 1927; Б у б н о в А. Ф., Огнеметание, сборн. "Военно-химич. дело", под ред. Я. М. Фишмана, Москва, 1929, стр. 99--105; К а р а г о д и н , Огнеметное дело, "Военно-инж. сборник", Москва, 1919, вып. 2; С м ы с л о в с к и й М., Огнеметы, "ВВ", М., 1924, 27; Б а т а ш е в В. Н., Применение огнеметов в маневренной войне, "Техника и снабжение Красной Армии", Москва, 1925, 4 (181); Б у б н о в А. Ф., Горючие жидкости для снаряжения огнеметов, там же, 7--8 (205--206); е г о ж е, Применение фугасных и тяжелых огнеметов в оборонительном бою, "Война и техника", Москва, 1926, 25--26; е г о же, Применение огнеметов при обороне населенного пункта, там же, М., 1926, 15--16; е г о ;к е, Огнеметы, "Химия и жизнь", М., 1926, 1; е г о же, Огнемет как противотанковое средство, "Пехота и бронесилы", М., 1929, 7; Принципы устройства огнеметов, "Военно-инженерный зарубежник", Москва, 1У22, вып. 7; Материалы об огнеметах герм, армии, там же, вып. 5; B i e d C n a r r e n t o n , Огнеметы, "Военный зарубежник", М., 1922, 14--15, стр. 1028--1031; Употребление огнеметов, "Информационный бюллетень ВОХИМУ". пер. с франц., М., 1926, 5, стр. 46--48. А. Бубнов
  
  

 Ваша оценка:

Связаться с программистом сайта.

Новые книги авторов СИ, вышедшие из печати:
О.Болдырева "Крадуш. Чужие души" М.Николаев "Вторжение на Землю"

Как попасть в этoт список

Кожевенное мастерство | Сайт "Художники" | Доска об'явлений "Книги"