Статья из Технической Энциклопедии 1927-34 г.г.
Тепловой расчет котлов паровых

Самиздат: [Регистрация] [Найти] [Рейтинги] [Обсуждения] [Новинки] [Обзоры] [Помощь|Техвопросы]
Ссылки:
Школа кожевенного мастерства: сумки, ремни своими руками Типография Новый формат: Издать свою книгу
 Ваша оценка:


   I.Тепловой расчет К. п. Размеры поверхности нагрева К. п. для менее ответственных установок небольшого размера с котлами нормальных типов рассчитываются обычно по эмпирической ф-ле: [] где Н--поверхность нагрева К. п. в м2, G-- часовая паропроизводительность К. п. в кг, а  [] -- напряжение поверхности нагрева, к-рое берут из таблиц на основании опытных данных (см. табл. 1). Для крупных ответственных котельных установок этот способ расчета неприменим, так как каждая такая установка строго индивидуальна и приноровлена к местным условиям в смысле качества топлива, характера нагрузки, давления и t перегрева пара.
    []
   Современная котельная установка состоит в наиболее общем схематическ. виде из следующих отдельных частей (фиг. 3): 1) топочного пространства, в котором происходит сжигание топлива; 2) экранной поверхности нагрева Н1, состоящей из трубок, укрепленных на стенках топочного пространства и подверженных непосредственному воздействию лучеиспускания слоя топлива и факела горящих газов; 3) передней части собственно К. п. Н2, т. е. части его, лежащей перед пароперегревателем; 4) пароперегревателя Н3; 5) задней части К. п. Н4; 6) экономайзера Н5 для подогрева питательной воды; 7) воздушного подогревателя Н6 для топочного воздуха. Целью теплового расчета является определение величины отдельных элементов котельной установки т. о., чтобы обеспечить получение необходимого количества пара данных темп-ры и давления из питательной воды данной t при условии охлаждения дымовых газов до t, обусловливающей достаточную экономичность установки в смысле расхода горючего. С повышением термич. кпд установки однако связано ее удорожание, и задачей экономич. расчета является определение наивыгоднейшей степени использования топлива. Сложностью явлений теплоотдачи в пределах котельной установки объясняется то обстоятельство, что до сих пор не выработано единообразного и точного метода теплового расчета.
   В основном расчет ведется след. обр. Заданными величинами являются: сорт угля, его состав, низшая теплотворная способность В, давление р, темп-pa  []2 и часовое количество G пара. Для данного варианта установки задаются: желательным содержанием СО2 в дымовых газах (для каменных углей 14--15%) или, что то же, коэф-том избытка воздуха; желательными t дымовых газов--перед пароперегревателем t2, перед выходом в дымовую трубу t6; темп-рой питательной воды перед экономайзером  []3 и после него  []4; темп-рой топочного воздуха перед подогревателем  []5 и после него  []6. Задавшись кпд топки и принимая во внимание состав топлива, коэф-т избытка воздуха, форму и объем топочного пространства, а также часть площади стенок топочной камеры, занятую экранной поверхностью нагрева К.п., определяют действительную темп-ру пламени в топке  []. Явления теплопередачи в топке изображены графически на фиг. 4.
    []
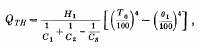
   Вместе с топливом вводится в топку QB Cal, к ним присоединяются: QLS-- колич. тепла, вводимое в топку подогреваемым в полых стенках топки воздухом, QL -- количество тепла, вводимое в топку воздухом, подогретым в особом подогревателе, qHS и qHT -- количество тепла, отбрасываемое в топку обратным лучеиспусканием стенок котла. Т. о. полное количество тепла в продуктах сгорания QT = QB + QL + QLS + qHS + qHT Из этого количества часть QF расходуется в самой топке, а часть QTR уходит с дымовыми газами и, омывая поверхность нагрева парового котла, отдает постепенно свое тепло. QF составляется из следующих частей: часть тепла QTH посредством лучеиспускания передается непосредственно экранной поверхности нагрева котла: []
  
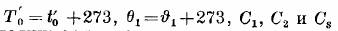
   где  []-- постоянные излучения горячего тела, холодного тела и абсолютно черного тела, выраженные в Са]/м2 ч.  []; по Рейтлингеру и Вамслеру для топок К. п.  []
   Экранной же поверхности передается часть тепла путем теплопроводности Z н. Другая часть передается лучеиспусканием QTS и путем теплопроводности Zs огнеупорным стенкам топочной камеры. Из этого количества небольшая часть qSH отражается непосредственно и т. о., не увеличивая t стенок, передается экранной поверхности нагрева К. п. Остальное количество нагревает шамотную стенку камеры, причем большая часть, QSH, в виде лучистой энергии передается на экранную поверхность, часть Xs проходит через стенки топки и рассеивается, а часть QLS расходуется на подогрев воздуха в каналах топочных стенок. Из общего количества лучистой энергии QSН + QTH + qSH, приходящейся на экранную нагревательную поверхность, QHS+ QHT передается воде, а qHS + qHT излучается ею обратно в топочное пространство. Диаграмма фиг. 4 дает представление о сложности тепловых процессов в топке и о трудности охвата их математическим анализом. Воленберг, Морроу и Линдсет на основании нек-рых упрощений и допущений пришли к аналитич. выражению для определения t топочного пространства, которое однако отличается значительной сложностью и недостаточно общим характером. Передача тепла в последующих секциях К. п. и в других частях котельной установки совершается также путем теплопередачи от потока горячих газов по общей ф-ле:
    []
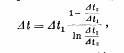
   где G1--вес топочных газов, развивающихся в час, в кг,  []-- средн. теплоемкость 1 кг дымовых газов в пределах t1 и t2; t1 и t2 -- темп-ры дымовых газов в рассматриваемой части К. п. при входе и выходе, Н--поверхность нагрева данной части К. п., к--коэф. теплопередачи от дымовых газов к содержимому секции (воде, пару или воздуху), [] и  []-- коэф-ты, учитывающие теплоотдачу лучеиспусканием содержащихся в дымовых газах паров воды и СО2, a  []--т. н. средняя логарифмич. разность t на протяжении данной части установки. При заданных Q, t2 или t1, [] и  [] вычисляют G1 по обычным ф-лам из хим. состава, количества топлива, сжигаемого в час, и коэф-та избытка воздуха;  []определяется из известного состава дымовых газов сначала приближенно (так как t1 или t2 неизвестны), а затем более точно путем последовательных приближений;  []определяется из ур-ия:
    []
   где  []--наибольшая, а  []--наименьшая разности температур дымовых газов и обогреваемой поверхности в пределах данной части К. п. (т. е. в начале или в конце ее). Т. о. получаем два ур-ия с двумя неизвестными H и t1 или t2, к-рые позволяют в каждом отдельном случае вычислить площадь Н и требуемую t входа или получающуюся t выхода газов. При условии задания, как было указано выше, весь расчет м. б. проведен по следующей схеме. Сначала определяют t1 газов при вступлении в Н2 и одновременно количество тепла, переданное лучеиспусканием и конвекцией экранной поверхности нагрева котла QHS+QHT+ZH затем, зная t1 и t2, определяют Н2 и QH2, поглощенное передней частью К. п. Для пароперегревателя известны: QH (из количества пара, давления его и t перегрева) и t2, определяют H3 и t3; зная общее количество тепла, необходимое для парообразования, QD и вычитая из него сумму полученного уже котлом тепла QHS + QHT +ZH + QH2 определяют Q3, а отсюда и H4 и t4; идя тем же путем дальше, можем определить и поверхность нагрева экономайзера Н3 и t5 (при заданных  []3 и  []4) и затем, зная t6 и  []5, поверхность нагрева воздушного подогревателя Н6 и t подогрева воздуха  []6. Трудность этого расчета заключается гл. обр. в отсутствии достаточно простых эмпирически проверенных формул для определения коэф-тов излучения и теплопередач в отдельных частях котельных установок. Значительное упрощение теплового расчета достигнуто Мюнцингером путем создания целой серии графич. таблиц, составленных частью по эмпирическим, частью по теоретич. данным.
  
   Отношение тепла, уносимого из К. п. паром, к теплопроизводительности сожженного топлива, называется к о э ф и ц и е н т о м п о л е з н о г о д е й с т в и я К. п. В наилучших случаях практики кпд котлов может достигать 85--87% и более. В среднем же К. п. работают с кпд не выше 70%. Кпд котлов обусловливается потерями тепла: а) с отходящими газами, б) от неполноты горения топлива и в) в окружающую среду. Первая определяется экономич. соображениями, как указывалось выше; вторая обусловливается совершенством топки и уменьем кочегаров, обслуживающих котел; третья зависит от качества обмуровки К. п. и условий движения воздуха, омывающего эту обмуровку. Кпд изменяется с изменением нагрузки К. п., достигая своего максимума при нек-рой наивыгоднейшей нагрузке, которая в каждом частном случае м. б. установлена только опытным путем, и уменьшается с увеличением нагрузки за счет роста потерь с отходящими газами и от неполноты горения топлива. При слабых нагрузках К. п. коэффициент полезного действия также падает за счет увеличения потерь в окружающую среду. В табл. 1 приведены теплотехнические и конструктивные данные относительно различных систем К. п.
    []
    []
    []
    [] См.далее. Цилиндрические котлы паровые

 Ваша оценка:

Связаться с программистом сайта.

Новые книги авторов СИ, вышедшие из печати:
О.Болдырева "Крадуш. Чужие души" М.Николаев "Вторжение на Землю"

Как попасть в этoт список

Кожевенное мастерство | Сайт "Художники" | Доска об'явлений "Книги"