Смульский Иосиф Иосифович
Время Научного Прогресса В Физике

Самиздат: [Регистрация] [Найти] [Рейтинги] [Обсуждения] [Новинки] [Обзоры] [Помощь|Техвопросы]
Ссылки:
Школа кожевенного мастерства: сумки, ремни своими руками Типография Новый формат: Издать свою книгу
 Ваша оценка:
  • Аннотация:
    Век предположений и гипотез заканчивается. Начинается эпоха знаний, основанных на честных исследованиях, в том числе на точных решениях сложных задач механики и математики, накопившихся за век предположений.

Смульский И.И. Время научного прогресса в физике / Время научного прогресса: сборник научных трудов по материалам II Международной научной конференции 02 ноября 2021 г. - Волгоград: Издательство "Научное обозрение", 2021. - С. 14 - 34.

УДК 53:51

ВРЕМЯ НАУЧНОГО ПРОГРЕССА В ФИЗИКЕ

И.И. Смульский, доктор физико-математических наук,
профессор, главный научный сотрудник
Институт криосферы Земли,
Тюменский научный центр СО РАН, Федеральный Исследовательский Центр, Россия
     Аннотация. На примере двух статей показано, что современная научная картина мира построена на иерархической системе гипотез. В первой статье для модели галактики используется вещество, состоящее из нейтрино, бозонов и других подобных частиц. Показано, что эти частицы введены в результате неверного описания взаимодействий в Теории относительности. В действительности при относительном движении взаимодействующих частиц изменяется их сила взаимодействия, а не их масса. Показано, что модели таких звездных ассоциаций, как шаровые скопления и галактики, нужно создавать на основе того вещества, которое имеется на Земле. Во второй рецензируемой статье предлагается создать LIGO на Луне. Показано, что гравитационные волны не существуют. Они были введены для объяснения избыточного вращения перигелия Меркурия. Однако избыточное вращение перигелия Меркурия обусловлено сплюснутостью Солнца. В статье показано, что гравитационные волны, Большой Взрыв, расширяющаяся Вселенная, темное вещество, темная энергия и др. появились на основании необоснованных гипотез. Актуальной задачей является устранение их из науки.
Ключевые слова: темное вещество, гравитационные волны, гипотезы, взаимодействие, заряженные частицы, тяготение Ньютона.

1. Введение

      В современной науке имеется много экзотического: расширяющаяся Вселенная, Большой взрыв, гравитационные волны, чёрные дыры, тёмная материя, темная энергия, нейтрино, бозоны, кварки и т.п. Оказывается, в реальности всего этого нет. Всё это выдумки, которых нет в окружающем мире [29]. Однако в современной фундаментальной науке эти фантазии являются объектом исследований. В качестве примера приведу статью заведующего лабораторией космологии и элементарных частиц Новосибирского государственного университета доктора физико-математических наук Александра Дмитриевича Долгова "Конечна ли Вселенная и мультивселенные", которая опубликована на последней странице Науки в Сибири, номер 11, 25 марта 2021 года.
      Вкратце перечислю ее мысли.
   1. Пространство бесконечно как бесконечна двумерная сфера в трехмерном пространстве.
   2. Вселенная является трехмерной сферой в четырехмерном пространстве.
   3. Без темной энергии Вселенная перейдет от расширения к сжатию.
   4. Без темной энергии горизонт растёт, а с темной энергией не растёт. И мы никогда не узнаем, что за ним находится.
     Начинаются эти рассуждения с двумерной сферы, как реального объекта окружающего мира. Но такого объекта нет и быть не может. Это - воображаемый объект, и он закладывается в основу построения воображаемой картины мира. В последующих пунктах добавляются новые воображаемые объекты, и такое понимание мира все больше и больше удаляется от реального мира.
     В 20-м веке подобным образом построена вся картина микро- и макромира. Ее ошибочность убедительно показана в статье [29]. Это - необычная статья. Ко мне обратился астрофизический журнал "International Journal of Astronomy and Astrophysics" прорецензировать статью по моделированию галактик с помощью тёмной материи, состоящей из нейтрино. Через недели две от физического журнала "Journal of Modern Physics" поступила на рецензию статья по гравитационным волнам. Я показал, что нет темной материи и гравитационных волн. Так как в статьях рассматриваются вымышленные объекты, публиковать их не следует.
     На материале этих двух рецензий я подготовил статью и направил её в журнал "Natural Science". Рецензент положительно ее оценил, но потребовал дополнительно осветить ряд вопросов. В статье я добавил параграф "Обсуждение", в котором дал подробные ответы на замечания и вопросы рецензента. Настоящая статья является несколько расширенным вариантом статьи [29].

2. Познание мира с помощью гипотез

     В современной науке укоренился метод познания окружающего мира с помощью гипотез. Для объяснения любого явления выдвигается гипотеза о его механизме. На ее основании строится разветвленное объяснение этого явления, т.е. его теория. С появлением новых данных это объяснение вступает в противоречие с ними. Чтобы избавиться от противоречия, вводится дополнительная гипотеза. В дальнейшем появляются новые противоречия, которые затем устраняются новыми гипотезами. И так процесс продолжается уже 100 лет.
     Приведу пример. При изучении света далеких астрономических объектов было установлено, что с увеличением расстояния до них происходит уменьшение его частоты, т.е. свет краснеет. Такое покраснение света, а также уменьшение частоты звука происходит с удалением их источников от наблюдателя. Это явление называется эффектом Доплера.
     Была принята гипотеза, что покраснение света далеких звезд и других астрономических объектов обусловлено эффектом Доплера. Поэтому эти объекты удаляются от нас.
     Однако выяснилось, что такое покраснение света происходит по всем направлениям относительно Земли. Была принята вторая гипотеза, что все звезды удаляются от нас, т.е. вся Вселенная расширяется.
     Расширение происходит в будущее, а в прошлом все объекты должны были сближаться, и Вселенная должна была превратиться в точку. Поэтому принимается третья гипотеза о Большом взрыве, в результате которого произошло рождение Вселенной.
     Однако выяснилось, что чем дальше находится астрономический объект, тем больше покраснение его света, а, следовательно, и больше скорость удаления. Например, у квазара OH471 относительное смещение длины волны λ в красную сторону равно z = 3.4, а у квазара GB1508+5714 - z = 4.3, где z = Δλ/λ. Согласно классическому эффекту Доплера, в первом случае квазар удаляется со скоростью равной 3.4 скорости света, а во втором - 4.3. Для эффекта Доплера в Теории относительности разные авторы приводят разные формулы. Для квазара GB1508+5714 по одним из них скорость удаления равна 0.93 скорости света, а по другим этот квазар движется в 1.13 раз быстрее света.
     Однако увеличение скорости невозможно. Так как в соответствии с законом всемирного тяготения Ньютона тела притягиваются друг к другу, то после взрыва скорость их удаления будет уменьшаться, а не увеличиваться. Вот тут, казалось бы, нужно от всех этих гипотез отказаться. Однако принимается четвертая гипотеза о темной энергии. Благодаря темной энергии тела после Большого взрыва ускоряются, а не замедляются. Например, известный специалист по моделям ранней Вселенной, в своих популярных лекциях говорит так. Никто еще не знает, что такое темная энергия, какие у нее свойства. Но она непременно существует. Ведь без нее не было б расширяющейся Вселенной и не было бы Большого взрыва.
     На этом примере видно, какое понимание окружающего мира появляется в результате метода познания с помощью гипотез. Этот метод дает нам воображаемый мир, а не реальный. Последователи и участники такого воображаемого мира сами со временем начинают сомневаться в его истинности. К концу жизни они приходят к полному разочарованию. Но новые поколения с энтузиазмом продолжают этот процесс творения мира.
     Для тщательного изучения всех особенностей явления, их связей с другими явлениями, постановке экспериментов и наблюдений и выполнения громоздких вычислений могут понадобиться годы, десятилетия; может не хватить даже всей жизни. А гипотезу можно выдвинуть сразу, и тем завоевать всемирное признание. Поэтому создание воображаемого мира продолжается.
     Возникают вопросы, до каких пор этот процесс будет продолжаться? Когда же настанет время научного прогресса в физике? В статье даны ответы на эти вопросы.

3. Модели галактик

     В статье "Добавление темной материи к Стандартной модели" ("Adding Dark Matter to the Standard Model") рассматриваются математические модели галактик с использованием различных воображаемых частиц, таких как бозоны, нейтрино различных типов и др. Чтобы объяснить профиль вращательной скорости галактик, используется темное вещество, состоящее из этих частиц..
     Эти частицы предложены физиками-теоретиками при рассмотрении различных моделей микромира на основании изменения массы движущейся частицы в Теории относительности (ТО). Гипотеза об изменении массы двух относительно движущихся заряженных частиц введена в ТО для объяснения их взаимодействия..
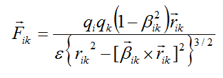
     Однако Теория относительности является ошибочной [3, 28]. Взаимодействие двух таких частиц qi и qk определяется силой (1), которая зависит от скорости uikи расстояния rik между ними [3, 17, 19, 20]:
Fik         (1)
где rik - радиус-вектор от частицы с зарядом qk до частицы с зарядом qi;
   uik - скорость частицы с зарядом qk по отношению к частице с зарядом qi;
   bik- приведенная скорость;
   c1- скорость света в среде между частицами;
ε и μ - диэлектрическая и магнитная проницаемость среды;
 border=- векторное произведение  border= и  border=.      Так как сила (1) изменяется с изменением скорости частицы, то принятое в ТО изменение массы частиц не существует. Не существуют также и все воображаемые частицы [28]. Поэтому нет темной материи, состоящей из бозонов, нейтрино и др. таких частиц.
     В Теории относительности всегда рассматривается взаимодействие двух частиц. В действительности всегда взаимодействуют не две частицы, а несколько. Формулой (1) выражена сила воздействия частицы k на частицу i. При этом на каждую из них оказывают воздействие остальные. Поэтому для описания реального взаимодействия методом Теории относительности необходимо вводить столько изменений массы, времени и расстояния, связанных с частицей i, сколько существует частиц k. Эти изменения с частицей i должны происходить одновременно. Отсюда видно, насколько Теория относительности абсурдна. Это, во-первых. А во-вторых, отсюда также видно, что расчеты взаимодействий заряженных частиц в Теории относительности не верны.
     В рассматриваемой статье о темной материи вводится новый тип вещества. Приходящие на Землю метеориты и все космические миссии убеждают нас в том, что в космосе существуют только тела, состоящие из такого же вещества, которое имеется на Земле. Из этого вещества построены звезды, созвездия и галактики. Необходимо рассматривать модели галактик на основании такого вещества.
 border=
Рис. 1. Многослойная сферическая модель шарового звездного скопления: показаны пять слоев, включающих 1488 периферийных тел; a - в момент формирования многослойной структуры; b - после 196-го обращения тела первого слоя; отрезками у тел 1 и 1488 показаны их векторами скорости: v1 и v1488.
     Ряд сложных математических задач был решен [4, 25, 26]. Методы решения задач взаимодействия многих тел созданы [23, 24]. Они позволяют создавать детерминированные модели шаровых звездных скоплений (рис. 1) и галактик [27]. Эти модели раскроют механизм взаимодействий и движений тел в этих объектах.
     Теорию относительности нужно выбросить и забыть [3, 28]. Нужно также выбросить и забыть все придуманные частицы, а также воображаемые объекты и явления, такие как Большой взрыв, расширяющаяся Вселенная, черные дыры и т.д. [18, 28].
     В статье "Adding Dark Matter to the Standard Model" представлено извращенное понимание окружающего мира. Поэтому публиковать ее не следует.

4. Гравитационные волны

     В статье "Лунная LIGO для возвращения НАСА на Луну" ("A Lunar LIGO for NASA's Return to The Moon") предлагается лазерная интерферометрическая обсерватория гравитационных волн (LIGO) на Луне. Она предназначена для обнаружения гравитационных волн.
     В этой статье утверждается, что такая обсерватория на Луне имеет ряд преимуществ по сравнению с обсерваторией на Земле. На Луне отсутствует атмосфера и значительно меньшая сила тяжести. Поэтому не нужно делать вакуумированные путепроводы для светового луча и меньшие требования к прочности конструкции LIGO. Это приведет к существенным удешевлениям создания LIGO и его эксплуатации.
     Кроме того, повышается точность LIGO из-за возможного увеличения длины хода лучей. А совместно с земной LIGO длина базы может быть увеличена до радиуса Лунной орбиты.
     В статье отмечается, что после десятилетий обнаружения неуловимых гравитационных волн, предсказанных общей теорией относительности Эйнштейна, они, наконец, обнаружены. Поэтому важно продолжить эти исследования и создать LIGO на Луне.
     В действительности гравитационные волны не обнаружены. К столетию Общей теории относительности была опубликована статья Эбботта Б.П. и 1100 с лишним его соавторов [10], в которой приводились якобы доказательства обнаружения гравитационных волн. Элементарный анализ показывает, что эта статья является грубой мистификацией [7, п. 4; 8; 28, п. 5]. Нет в этой статье доказательств существования гравитационных волн.
     Гравитационных волн нет и быть не может. В Общей теории относительности они были введены на основании гипотезы, что тяготение распространяется со скоростью света. Эта гипотеза была принята, чтобы объяснить избыток вращения перигелия Меркурия, равный 43 угловых секунды в столетие (arcsec/century). А. Эйнштейн позаимствовал уравнения и решение из работы Пауля Гербера [16], в которой показано, что при световой скорости тяготения происходит вращение перигелия Меркурия на 43 arcsec/century. Однако решение Пауля Гербера неверно. Световая скорость тяготения дает вращение перигелия 0.23 arcsec/century [3], а не 43 arcsec/century, т.е. в 187 раз меньше.
     Поэтому конечная скорость распространения тяготения не может объяснить избыток вращения перигелия Меркурия!
     Более точный анализ наблюдений показал, что относительно неподвижного пространства избыток вращения перигелия Меркурия равен 53 arcsec/century, а не 43 arcsec/century [21]. В результате взаимодействия тел Солнечной системы по закону тяготения Ньютона перигелий Меркурия вращается со скоростью 530 arcsec/century [22], при этом, по наблюдениям, эта скорость равна 583 arcsec/century. При решении задачи о взаимодействии тел Солнечной системы тела рассматриваются, как материальные точки. Действие строго сферического тела эквивалентно действию материальной точки. Но Солнце - не сферическое, а сплюснутое тело. Учет формы Солнца дает недостающие до наблюдений 53 arcsec/century [5, 21, 27]. Более детальное Дополнение по перигелию Меркурия представлено ниже.
     Итак, рассчитанное с помощью закона тяготения Ньютона движение тел Солнечной системы полностью совпадает с наблюдениями [5, 21, 22, 27]. Поэтому нет необходимости вводить конечную скорость распространения тяготения. Общую теорию относительности, в том числе и гравитационные волны, нужно выбросить и забыть.
     Статью "A Lunar LIGO for NASA's Return to the Moon", предлагающую бессмысленную работу, публиковать не следует.
     Для будущих полетов на Луну нужно планировать нужные и полезные исследования. Нужно изучать географию и геологию Луны. Нужно с Луны изучать Землю, Солнце и космическое пространство. Нужно на Луне изучать поток солнечного вещества, а также его содержание в лунной поверхности. Эти результаты откроют много нового в понимании не только космического пространства, но и в понимании многих явлений на Земле. Такие результаты будут полезны человечеству.
     Не нужно тратить силы и средства на никчемные задачи, обусловленные заблуждениями. Как пример одной из таких задач, можно привести установку уголковых отражателей на Луне. Средства были затрачены, а эффекта от них нет.
     Это также относится к, упоминаемой в статье, космической антенне лазерного интерферометра (LISA) Европейского космического агентства (ЕКА), которая также предназначена для обнаружения гравитационных волн. Эта проверочная миссия, стоимостью 400 миллионов евро завершена, но в полном объеме будет продолжена в 2034 году. Эту бесполезную работу также не нужно проводить.
     Дополнение по перигелию Меркурия. Еще раз рассмотрим причину избыточного вращения перигелия Меркурия. Как отмечалось выше, световая скорость тяготения дает вращение перигелия 0.23 arcsec/century [3], а не 43 arcsec/century, т.е. в 187 раз меньше. Кроме того, световая скорость тяготения приводит к изменениям эксцентриситета орбиты, ее полуоси и периода обращения такого же порядка, как и вращение перигелия [1, 2, 6, 19, 20]. При ньютоновском гравитационном взаимодействии изменения всех параметров орбиты для всех планет совпадают с наблюдениями [22, 27], за исключением перигелия Меркурия. Поэтому конечная скорость распространения тяготения никоим образом не может быть причиной избыточного вращения перигелия Меркурия, ибо при этом другие параметры орбиты не будут совпадать с наблюдениями.
     Так какая же настоящая причина избыточного вращения перигелия Меркурия?
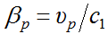
     В вышеупомянутых работах [5, 21, 27] сплюснутая форма Солнца моделировалась кольцом тел вокруг Солнца (рис. 2), при этом масса такой составной модели Солнца равнялась его массе. При определенной массе тел кольца полная скорость вращения перигелия совпадает с наблюдаемой скоростью 583 arcsec/century. При этом совпадают с наблюдениями изменения всех остальных параметров орбиты Меркурия, а также изменения параметров орбит остальных планет.
     Составная модель Солнца моделирует сплюснутость Солнца. Однако тела на кольце движутся с определенной скоростью на орбите вокруг Солнца. Поэтому может возникнуть предположение, что эта скорость оказывает влияние на вращение перигелия. Была создана составная модель Солнца со скоростью в два раза меньше [27]. Эта модель дала в точности такое же вращение перигелия. То есть результат не зависит от скорости движения тел на кольце.
     Была также создана модель с меньшими в два раза массами тел на кольце [5]. Она привела к избыточному вращению перигелия - в два раза меньше. Следует отметить, что всего было создано 15 составных моделей Солнца. В последних моделях радиус кольца равнялся экваториальному радиусу Солнца (рис. 2).
     Поэтому настоящей причиной избыточного вращения перигелия Меркурия является сплюснутая форма Солнца.
 border=
Рис. 2. Составные модели вращения Солнца и их параметры при массе Солнца MS = 1.98892⋅1030 кг и радиусе RS = 6.97113⋅108 м: 1 - составная модель Солнца; 2 - центральное тело; 3 - периферийное тело; 4 - Меркурий; 5 - Венера; 6 - Земля и Луна; 7 - Марс. Остальные планеты находятся за пределами рисунка. Положения тел указаны на 30 декабря 1949 г. Линиями у тел обозначены их векторы скорости

Таблица
Номер
модели
n1
m1⋅10-23
a⋅10-10
 
кг
м
2
5
604.8
2.528358
3
5
1.966
2.528449
4
5
1.565
2.528449
5
10
0.782
2.528449
15
5
3495.308
0.06742779
n1 - количество периферийных тел; а - радиус их орбиты; m1- масса периферийного тела.

5. Обсуждение

     Вышеизложенный текст был рассмотрен рецензентом. Далее следует текст рецензии, в котором автор буквами в скобках расставил пункты. Внизу, в соответствии с этими пунктами, автор представляет свои разъяснения и ответы.

5.1. Рецензия

5.1.1. Резюме
     Статья посвящена рецензии и обзору двух статей, рассматривающих модели Большого взрыва, темной материи, Специальную Теорию Относительности и гравитационные волны. Автор утверждает, что модель Большого взрыва неверна, потому что большое красное смещение квазаров требует, чтобы они двигались быстрее скорости света в свободном пространстве (A). Он также утверждает, что гравитационных волн не существует, потому что они были предложены для объяснения избыточного вращения перигелия Меркурия. По его мнению, такое вращение перигелия можно объяснить с помощью законов Ньютона, если предположить, что это результат сжатия Солнца. Он также утверждает, что числовое значение избыточного вращения составляет 0.23 arcsec/century, а не 43, что не согласуется с наблюдениями (B).
     Он считает, что Специальная Теория Относительности сама по себе обладает некоторыми недостатками. Он утверждает, что объяснение взаимодействий заряженных частиц, предполагающее в Специальной Теории Относительности изменение масс частиц, неверно. Его можно объяснить с помощью силы, зависящей от скорости и расстояния. Он также считает, что на самом деле темной материи не существует или, по крайней мере, природа темной материи является ошибочной.

5.1.2. Общие комментарии
     Статья написана правильно. Аннотация касается методологии полученных результатов. Во введении дается краткий обзор исследований, указывающих на недостатки модели Большого взрыва, в частности, связанных с существованием гравитационных волн и темной материи. Для написания статьи использовался свободный английский язык. Однако в заявлениях о пренебрежении моделью Большого взрыва и Теории Относительности использовались слабые и немногочисленные доказательства в поддержку этого утверждения.

5.1.3. Конструктивная критика
     1. Предположение о том, что гравитационных волн не существует, потому что перигелий Меркурия можно объяснить с помощью законов Ньютона и сплющенного Солнца, очень слабо. Это связано с тем, что не было сделано никаких выводов, подтверждающих это утверждение. Такой вывод нужен (C). Даже если такой вывод был сделан, это не означает, что гравитационных волн не существует, потому что многие другие свидетельства от двойных пульсаров и черных дыр, обнаруженные LIGO в 2016 году из-за столкновения черных дыр, подтверждают существование гравитационных волн (D). Таким образом, необходимо объяснить эти наблюдения на новой основе. Даже утверждение о том, что рассчитанные значения избыточного вращения неверны, требует дополнительных подробностей. Автор должен записать основные уравнения, а затем показать, что значение избыточного вращения неверно (E). Таким образом, все эти предсказания Большого взрыва должны быть показаны как неверные с использованием основных законов.
     2. Многие авторы предлагают множество предложений для подтверждения существования темной материи или для поиска новых путей устранения конфликта наблюдаемых и прогнозируемых фактических и критических плотностей Вселенной без отказа от модели Большого взрыва. Некоторые из этих моделей представлены в статьях Арбаба (Astrophy. Space. Sci (2014) 355 и М. Дирар (Modern Physics Letters A, V. 13, N.37 (1998)). Таким образом, проблема критической и текущей плотностей масс требует также более веских доказательств, чтобы подтвердить несостоятельность модели Большого взрыва (F).
     3. В утверждение о том, что взаимодействие заряженных частиц может быть объяснено постоянной массой и новым выражением силы, очень трудно поверить. Постулаты, на которых находится это новое выражение силы, должны быть упомянуты и написаны должным образом (G). Экспериментальные наблюдения, подтверждающие тот факт, что массы частиц изменяются подобно делению и слиянию ядер, помимо образования пар и аннигиляции частиц, затрудняют представление о том, что массы частиц являются постоянными физическими величинами (H). Это необходимо объяснить с помощью нового выражения силы или любой другой модели (I).
     4. Очень краткая информация, извлеченная из процитированных ссылок, заставляет читателей обращаться к этим ссылкам, что отнимает много времени. С физической точки зрения, для авторов предпочтительнее потратить больше времени, чтобы дать больше деталей, чтобы выиграть время для всех читателей этой рукописи.

5.2. Ответ автора

     A. Здесь требуется уточнение: почему неверна теория Большого взрыва.
     Любое неверное утверждение имеет множественные противоречия с действительностью. Одни из них являются главными или исходными, а вторые являются их следствиями. Отметим главные противоречия.
     Во-первых, нет оснований для рождения Вселенной из точки, т.е. нет причин, которые могли бы создать такой взрыв точки.
     Во-вторых, при взрыве скорости разлета должны уменьшаться с увеличением расстояния. Поэтому интерпретация красного смещения эффектом Доплера является неверной, т.к. при этой интерпретации наблюдения дают, что скорости увеличиваются с расстоянием. Поэтому нет расширяющейся Вселенной и нет Большого взрыва.
     B. Гравитационные волны следуют из теории гравитационного воздействия, которое распространяется со скоростью света. Аналогом такого воздействия является электромагнитное воздействие. Поэтому предполагается, что подобно электромагнитным волнам должны быть гравитационные волны. В Теории относительности по аналогии с электромагнитным взаимодействием созданы уравнения для гравитационного взаимодействия, распространяющегося со скоростью света. Для такого взаимодействия избыток вращения перигелия Меркурия равен 0.23 arcsec/century, а не 43 arcsec/century. Величина 43 arcsec/century, полученная Паулем Гебером [16], является неверной. А по наблюдениям избыток вращения перигелия Меркурия равен 53 arcsec/century, а не 43 arcsec/century.
     C. Избыточное вращение перигелия Меркурия 53 arcsec/century за счет сплющенности Солнца установлено в результате численного решения задачи ньютоновского взаимодействия составной модели Солнца (рис. 2) и Меркурия за ±3000 лет от современной эпохи [5]. Полное вращение перигелия Меркурия 583 arcsec/century установлено в результате численного решения задачи взаимодействия планет Солнечной системы и составной модели Солнца (Рис. 2) за ±3000 лет от современной эпохи [21, 27]. При этом определены вековые изменения всех параметров орбиты Меркурия и остальных планет. Они сопоставлены с наблюдениями. Результаты расчетов совпадают с наблюдениями [27].
     Эти работы выполнялись в течение двух десятков лет. Результаты опубликованы в десятках статей и в нескольких монографиях. Этот материал огромен, и привести его в этой статье невозможно.
     D. Обнаруженные в 2016 г. сигналы не являются свидетельствами гравитационных волн [28]. В статье Эбботта Б.П. (Abbott B.P.) и 1100 с лишним его соавторов [10] описываются результаты наблюдения гравитационных волн от слияния двойной Черной дыры. Это так называемый LIGO-эксперимент.
     Приведем фрагмент из статьи [10]: 14 сентября 2015 г. в 9 часов 50 минут и 45 секунд в приборах зафиксирован импульс с несколькими колебаниями, который длился около 0.15 сек...слияние черных дыр создало ускорение пробному телу 10-21 см/сек2.
     Первый момент. Читатель может себе представить, что аппаратура LIGO-эксперимента должна зарегистрировать смещение пробного тела 1.1×10-23 см. Диаметр атома водорода равен 0.529×10-8 см. Поэтому можно сказать, что в LIGO-эксперименте создали аппаратуру, которая позволяет измерять длины, составляющие 2×10-15 части атома.
     Второй момент. Слияние черных дыр произошло на расстоянии от нас 410 мегапарсек с точностью от -180 мегапарсек до +160 мегапарсек [10]. Переведем это расстояние в световые годы (с.л.): слияние произошло на расстоянии 1.34 млрд. с.л., которое определено с точностью от -0.59 млрд. с.л. до +0.52 млрд. с.л.
     Так как гравитационные волны распространяются со скоростью света, то слияние черных дыр могло произойти 590 млн. лет назад или произойдет через 520 млн. лет в будущем.
     Третий момент. Столкновение объектов размером D при их скорости v происходит за время t = D/v. Импульс от их столкновений будет иметь примерно такую же длительность t. Например, столкновение 2-х пуль произойдет за t = 60 микросекунд, а двух океанских лайнеров - за t = 0.5 минуты. Такова будет также длительность импульсов при их столкновении.
     Рассмотрим время столкновения двух галактик, в центре которых предполагаются рассматриваемые черные дыры. Стандартный диаметр галактик D = 105 с.л., а скорость возьмем v = 1000 км/сек. Учтем, что 1 световой год равен 9.461×1012 км. Тогда время столкновения t = 30 млн. лет.
     Итак, длительность импульса при относительной скорости галактики 1000 км/сек будет t = 30 млн. лет, а не t = 0.15 сек, как зарегистрировано в LIGO-эксперименте.
     Предположим, что LIGO-ученые правы: они поймали столкновение черных дыр. Определим скорость их столкновения v = D/t = 21000 мдрд.×с, где с - скорость света.
     То есть в LIGO-эксперименте галактики совершали движение со скоростями, превышающими скорость света в двадцать одну тысячу миллиардов раз.
     Теория относительности основана на том, что тело не может превысить скорость света. Публикация LIGO-эксперимента приурочена к 100-летию общей теории относительности, якобы ее подтверждающей.
     Как видим, LIGO-эксперимент опроверг теорию относительности. Поэтому, основываясь на этом "открытии века" мейнстрим-науки, в очередной раз я могу сказать: теорию относительности и всю современную физическую картину микро- и макромира нужно выбросить и забыть!
     E. Действительный избыток вращения перигелия Меркурия 0.23 arcsec/century был определен следующим образом [3]. По аналогии с электромагнитным воздействием сила гравитационного взаимодействия, распространяющегося со скоростью света, имеет следующий вид:
 border=          (2)
где G - гравитационная постоянная;
     mi и mk - массы i-того и k-того тел; остальные обозначения такие же, как и для силы (1).
     Была решена задача взаимодействия двух тел при силе (2). Уравнение траектории получено в следующем безразмерном виде [3]:
 border=          (3)

где  border=- безразмерная радиальная скорость Меркурия относительно Солнца, которая определяется выражением:
 border=          (4)

      border= - безразмерное расстояние от Солнца до Меркурия;
      border= - скорость Меркурия в перигелии, приведенная к скорости света;
      Rp и vp - радиус перигелия орбиты Меркурия и его скорость в перигелии;
      border= - параметр траектории;
      ms и mMe - массы Солнца и Меркурия.
     Уравнение траектории (3) приведено в полярной системе координат (r, φ), в центре которой находится Солнце, а полярный угол φ отсчитывается от перигелия. Для взаимодействия Солнца и Меркурия α1= -0.829 и βp = 1.961⋅10-4.
     Уравнение траектории (3) - (4) точным аналитическим методом решить невозможно. Решение его приближенными аналитическими методами при очень малых βp затруднено из-за наличия особенностей в конечных точках, т.е. в перигелии и в афелии.
     Уравнение траектории (3) - (4) было решено численным методом при вариации α1 и βp во всем диапазоне их изменения [1, 3, 6]. Уравнение (3) интегрировалось от радиуса перигелия до радиуса афелия. На основании этих численных решений было получено асимптотическое решение. При малых α1= -0.829 и βp смещение перигелия Меркурия за его полный оборот по орбите равно
 border=          (5)

     За 100 земных лет Меркурий совершает 415 обращений, что согласно (5) дает смещение перигелия Меркурия 0.23 arcsec/century.
     F. Как показано в п. A, гипотеза Большого взрыва - неверна. Поэтому вся интерпретация явлений в макромире с помощью этой гипотезы является неверной, и от нее необходимо избавляться.
     G. Выражение (1) для силы воздействия на частицу с зарядом q1 другой частицы с зарядом q2 получено на основании экспериментальных законов электромагнетизма [1, 3, 6]. Вторая частица движется со скоростью  border=, согласно (1), относительно первой. Поэтому ее движение идентично току I, который в соответствии с законом Био-Савара-Лапласа создает магнитное поле с напряженностью H в точке нахождения первой частицы. Так как вторая частица движется, то поле H является переменным. В соответствии с законом индукции Фарадея переменное магнитное поле H в точке нахождения первой частицы создает электрическое поле с напряженностью E. По определению напряженности E, она является силой воздействия на первую частицу с зарядом, равным единице. Эти два закона являются дифференциальными уравнениями. Исключая напряженность H из них, получаем следующее дифференциальное уравнение для силы воздействия движущегося заряда q2на неподвижный заряд q1:
 border=          (6)

     где, ρ- распределенная по пространству плотность заряда q2.
     В результате решения уравнения (6) для точечного заряда q2 получено выражение для силы (1) [1, 6]. Решение уравнения (6) является значительным достижением математики. Оно получено автором в 1968 г.
     H. В микромире существует много непонятных явлений. Однако введение гипотетических механизмов явлений, не способствует более ясному пониманию окружающего мира. Введение гипотез, приводит к новым противоречиям и неясностям. А в итоге мы приходим к полностью воображаемому и фантастическому миру.
     Я согласен с рецензентом, что современная интерпретация экспериментальных фактов затрудняет представление о том, что массы частиц являются постоянными физическими величинами. Однако эта интерпретация и была создана на том положении, что масса одной частицы изменяется в зависимости от ее скорости по отношению к другой частице. В действительности, как показано выше, нет никаких оснований для изменения массы. Зависимость массы от скорости является неверным предположением. Как любое неверное положение, оно множественными способами противоречит действительности. Одно из таких противоречий я привел ранее. Частица по отношению к другим частицам движется с разной скоростью. Поэтому частица в один и тот же момент должна иметь столько масс, сколько имеется в мире частиц.
     Эти противоречия подтверждают, что гипотеза об изменении массы со скоростью является ошибочной. По-этому это положение нужно выбросить из науки. Также нужно выбросить всю конструкцию микромира, построенную на этом предположении.
     За 100 лет построения окружающего мира с помощью гипотез сменилось несколько поколений физиков. Введенные воображаемые объекты их первыми поколениями, последующими поколениями воспринимались как реально существующие объекты. Сейчас все, что якобы существует в окружающем мире, большинством воспринимается на веру. Поэтому всю современную конструкцию микро- и макромира необходимо сегодня пересматривать. В качестве примера приведу историю создания нейтрино [6].
     Рекардо Церезани и Давид де Хилстер в своих работах [12, 14] наглядно изложили ситуацию с нейтрино. Радиоактивный радий превращается в полоний и излучает электроны. В 1927 г. Ц.Д. Еллис и В.А. Вустер [15] с помощью калориметра измерили энергию электронов и получили ее величину 0.36 MeV. В 1931 г. Вольфганг Паули с позиции Теории относительности рассчитывает кинетическую энергию электрона и получает 1.16 MeV. Это значение обусловлено принятой в Теории относительности зависимостью массы электрона от скорости. В действительности масса неизменна, а сила зависит от скорости. Однако релятивисты считают, что такая ошибочная энергия 1.16 MeV является реальной, поэтому придумывают частицу нейтрино, которая должна быть носителем фальшивой энергии 1.16 MeV - 0.36 MeV = 0.86 MeV.
     Более полувека в науке ставятся грандиозные эксперименты по поиску нейтрино. Неизвестно, как его можно найти, т.к. нейтрино без взаимодействия может пройти насквозь как Землю, так и Солнце. В разные радиоактивные превращения нужно добавлять разные нейтрино с разными энергиями. Тем не менее, сейчас во все ядерные реакции введено нейтрино. Все энергетические их балансы экспериментально измерены. Экспериментальные величины теоретиками увеличены на фиктивную энергию нейтрино, и тут же они уменьшены на эту величину, за счет того, что все нейтрино беспрепятственно улетают.
     I. С помощью силы (1) были рассмотрены взаимодействия движущейся заряженной частицы с заряженными телами различной формы, с проводником с током и с магнитами [3]. Разработана теория ускорителей элементарных частиц. Показано, что расчеты с помощью силы (1) более точны, чем на основании Теории относительности. Например, в опыте Бухерера [11] при скорости электронов, приближающейся к скорости света, Теория относительности дает неверный результат. А расчеты с помощью силы (1) полностью совпадают с результатами этого опыта [1, 6].

Заключение


     Сейчас от последователей Большого взрыва можно услышать следующие слова. Большого Взрыва могло и не быть. Возможно, Вселенная постоянно "сжимается" и "разжимается". А, может, Вселенная бесконечна, а пространство и время существовало всегда. Но если не было Большого Взрыва, то, что было вместо него?
     Вот таков итог фундаментальных исследований, продолжающихся уже 100 лет. Вымышленный мир вызывает сомнения даже у его создателей.
     Сейчас перед фундаментальной наукой стоит задача не в создании нового окружающего мира, а в анализе построенных представлений о микро- и макромире. Необходимо в этих конструкциях выявлять необоснованные гипотезы и связанные с ними цепочки представлений удалять из науки. Последовательно выполняя эту работу, мы получим действительное знание об окружающем мире.
     Я призываю начинающих исследователей заниматься этой работой, а не увлекаться созданием грандиозных сооружений из гипотез, которые к концу жизни разочаруют их своей бессмысленностью.
     С публикаций статьи [29] общепринятая точка зрения, основанная на Теории относительности и включающая искривленное пространство-время, расширяющуюся Вселенную, Большой взрыв, гравитационные волны, тёмное вещество, темную энергию и многие другие воображаемые объекты микро- и макромира, уже не является общепринятой точкой зрения.
     Статья [29] является образцом, по которому будут строиться рецензии, отклоняющие в международных журналах статьи, подобные упомянутой во Введении статьи А.Д. Долгова. Все вышеупомянутые объекты современной научной картины микро- и макромира являются "изобретениями" Западной науки. Так как эталоном научности является Западная наука, то отечественные ученые вынуждены повторять эти несуразности.
     Публикация статьи [29] является поворотной точкой в современной науке. Всё! Больше не нужно слепо следовать Западной науке.
     У нас много талантливых и самобытных исследователей. Но все они скованы запретами Западной науки. А эта наука - дефектна и фальшива. Почему она дефектна и фальшива? Потому что создала нереальную картину микро- и макромира, не прокладывает путь дальнейшего развития общества и не препятствует отрицательным тенденциям в нем. Такая наука не нужна обществу. Общество это сознает. К её открытиям оно относится, как к цирковым фокусам, а в поисках решения стоящих перед ним проблем свои взоры направляет на журналистов и политиков [8].
     Подводя итоги, можно сказать: пришло время для научного прогресса в физике!
Благодарности

     Выражаю признательность рецензенту за тщательный анализ рукописи статьи [29], высказанные им суждения и заданные вопросы.
СПИСОК ЛИТЕРАТУРЫ
     1. Смульский, И.И. Электромагнитное и гравитационное воздействия (нерелятевистские трактаты) / И.И. Смульский. - Новосибирск: Наука, 1994. - 225 с. - Режим доступа: http://www.ikz.ru/~smulski/smul1/Russian1/FounPhisics/ANNOTRE.doc.
     2. Смульский, И.И. Траектории при взаимодействии двух тел, зависящем от относительного расстояния и скорости / И.И. Смульский // Математическое моделирование. - 1995. - Т. 7. - N. 7. - С. 117-126. - Режим доступа: http://www.ikz.ru/~smulski/smul1/Russian1/FounPhisics/TrV2tl.pdf.
     3. Смульский, И.И. Теория взаимодействия / И.И. Смульский. - Новосибирск: Из-во Новосибирского ун-та, ННЦ ОИГГМ СО РАН. - 1999. - 294 с. - Режим доступа: http://www.ikz.ru/~smulski/smul1/Books/Theory/Theory.htm.
     4. Смульский, И.И. Осесимметричная задача гравитационного взаимодействия N-тел / И.И. Смульский // Математическое моделирование. - 2003. - Т. 15. - N. 5. - С. 27-36. - Режим доступа: http://www.ikz.ru/~smulski/smul1/Russian1/IntSunSyst/Osvnb4.doc.
     5. Смульский, И.И. Численное моделирование эволюции спутника вращающегося тела / В сб. Теоретические и прикладные задачи нелинейного анализа. Российская Академия Наук: ВЦ им. А.А. Дородницына / И.И. Смульский. - М.: ВЦ РАН А.А. Дородницына. - 2008. - С. 100-117. - Режим доступа: http://www.ikz.ru/~smulski/Papers/ModSun07c.pdf.
     6. Смульский, И.И. Электродинамика движущихся тел. Определение сил и расчет движений / И.И. Смульский. - Saarbrucken, Germany: "Palmarium Academic Publishing", 2014. - 324 с. ISBN 978-3-659-98421-1. - Режим доступа: http://www.ikz.ru/~smulski/Papers/InfElMvB.pdf.
     7. Смульский, И.И. О показателе результативности научной деятельности ученого / И.И. Смульский // Путь науки. Международный научный журнал. - 2016. - N. 10 (32). - С. 8-16. - Режим доступа: http://www.ikz.ru/~smulski/Papers/PokRezNauchD4.pdf. В html-формате http://www.ikz.ru/~smulski/Papers/PokRezNauchD4.htm.
     8. Смульский И.И. Предстоящие задачи фундаментальной науки / И.И. Смульский. - М.: Издательство "Спутник +", 2019. - 134 с. ISBN 978-5-9973-5228-8. - Режим доступа: https://www.elibrary.ru/item.asp?id=41535305.
     9. Смульский И.И. Периодические орбиты N тел на сфере / И.И. Смульский // Космические исследования. - 2020. - Т. 58. - N. 1. - С. 49-60. DOI: 10.31857/S0023420620010070. - Режим доступа: http://www.ikz.ru/~smulski/Papers/PrdOrNBS3f.pdf.
     10. Abbott, B.P. et al. Observation of Gravitational Waves from a Binary Black Hole Merger // Physical Review Letters. 2016, 116, 061102-1 - 061102-16. https://doi.org/10.1103/PhysRevLett.116.061102.
     11. Bucherer, A.H. Die experimentelle Bestatigung des Relativitats Prinzips // Annalen der Physik, 1909, Bd 28. 513 P. https://doi.org/10.1002/andp.19093330305.
     12. Carezani, Ricardo L. Nuclear-Nuclear Collisions. 1997.
     13. Carezani, Ricardo L. Neutrinos at Fermi Lab. 1997.
     14. de Hilster, D. The Neutrino: Doomed from Inception / Proceedings of the NPA 8, 2011, pp. 148-151.
     15. Ellis, C.D., Wooster W.A. The Average Energy of Disintegration of Radium E. // Proceedings of the Royal Society A117 (776), London, 1927, 109-123. https://doi.org/10.1098/rspa.1927.0168.
     16. Gerber, P. Die raumliche und zeitliche Aubreitung der Gravitation // Z. Math. Phis. 1898, Vol. 43, pp. 93-104. http://bourabai.narod.ru/papers/gerber/gerber.htm.
     17. Smulsky, J.J. The new approach and superlight particle production // Physics Essays. - 1994, Vol. 7, No. 2, 153-166. http://www.ikz.ru/~smulski/smul1/English1/FounPhisics/NApSup.pdf.
     18. Smulsky, J.J. The "Black Hole": Superstition of the 20-th Century // Apeiron. 1996, Vol. 3, No. 1, pp. 22 - 23. http://www.ikz.ru/~smulski/smul1/English1/FounPhisics/BHAP2.doc.
     19. Smulsky, J.J. The new fundamental trajectories: Part 1-hyperbolic/elliptic trajectories // Galilcan Electrodynamics. - 2002, Vol. 13, No. 2, 23-28.
     20. Smulsky, J.J. The new fundamental trajectories: Part 2-parabolic/elliptic trajectories // Galilcan Electrodynamics. - 2002, Vol. 13, No. 3, p. 47-51. http://www.ikz.ru/~smulski/smul1/English1/FounPhisics/NFT.pdf.
     21. Smulsky, J.J. New Components of the Mercury's Perihelion Precession // Natural Science. 2011, Vol. 3, No.4, 268-274. doi:10.4236/ns.2011.34034. http://www.scirp.org/journal/ns.
     22. Smulsky, J.J. and Smulsky Ya.J. Dynamic Problems of the Planets and Asteroids, and Their Discussion // International Journal of Astronomy and Astrophysics. 2012, Vol. 2, No. 3, pp. 129-155. doi:10.4236/ijaa.2012.23018. https://www.scirp.org/journal/papercitationdetails.aspx?PaperID=23224&JournalID=490.
     23. Smulsky, J.J. Galactica software for solving gravitational interaction problems // Applied Physics Research. - 2012, 4(2), 110C123. http://www.ikz.ru/~smulski/Papers/Galct12E2J.pdf.
     24. Smulsky, J.J. The system of free access Galactica to compute interactions of N-bodies // I. J. Modern Education and Computer Science. - 2012, 11, 1-20. DOI: 10.5815/ijmecs.2012.11.01.
     25. Smulsky, J.J. Exact solution to the problem of N-bodies forming a multilayer rotating structure // Springer Plus. - 2015, 4, 361, 1-16. http://www.springerplus.com/content/4/1/361.
     26. Smulsky, J.J. Advances in mechanics and outlook for future mankind progress // International Journal of Modern Education and Computer Science. - 2017, Vol. 9, No. 1, pp. 15-25. http://www.mecs-press.org/ijmecs/ijmecs-v9-n1/IJMECS-V9-N1-2.pdf.
     27. Smulsky, J.J. Future Space Problems and Their Solutions. New York: Nova Science Publishers. 2018, 269 p. ISBN: 978-1-53613-739-2. http://www.ikz.ru/~smulski/Papers/InfFSPS.pdf.
     28. Smulsky, J.J. New Understanding in Academic Science // Natural Science. - 2019, Vol. 11, No. , pp: 74-94. https://www.scirp.org/journal/PaperInformation.aspx?PaperID=91189. На русском языке: http://www.ikz.ru/~smulski/Papers/NovRaAkNk3.pdf.
     29. Smulsky, J.J. Dark Matter and Gravitational Waves // Natural Science, 2021, 13, No. 3, 76-87. doi:10.4236/ns.2021.133007. https://www.scirp.org/journal/paperinformation.aspx?paperid=107880.

Материал поступил в редакцию 08.10.21

THE TIME OF SCIENTIFIC PROGRESS IN PHYSICS

J.J. Smulsky, Doctor of Physical and Mathematical Sciences,
Full Professor, Chief Research Officer
Institute of the Earth's Cryosphere,
Tyumen Scientific Center SB RAS, Federal Research Center, Russia
     Abstract. Using the example of two articles, it is shown that the modern scientific picture of the world is based on a hierarchical system of hypotheses. In the first article, a substance consisting of neutrinos, bosons and other similar particles is used for the galaxy model. It is shown that these particles were introduced as a result of an incorrect description of interactions in the Theory of Relativity. In fact, the relative motion of interacting particles changes their interaction force, not their mass. It is shown that models of such stellar associations as globular clusters and galaxies need to be created on the basis of the matter that exists on Earth. In the second peer-reviewed article, it is proposed to create a LIGO on the Moon. It is shown that gravitational waves do not exist. They were introduced to explain the excessive rotation of the perihelion of Mercury. However, the excessive rotation of the perihelion of Mercury is due to the flatness of the Sun. The article shows that gravitational waves, the Big Bang, the expanding universe, dark matter, dark energy, etc. appeared on the basis of unsubstantiated hypotheses. The urgent task is to eliminate them from science.
     Keywords: dark matter, gravitational waves, hypotheses, interaction, charged particles, Newton's gravity.

 Ваша оценка:

Связаться с программистом сайта.

Новые книги авторов СИ, вышедшие из печати:
О.Болдырева "Крадуш. Чужие души" М.Николаев "Вторжение на Землю"

Как попасть в этoт список

Кожевенное мастерство | Сайт "Художники" | Доска об'явлений "Книги"