Рис.2 Обмен изохронными тахионами в разные моменты времени. Каждый кадр анимации соответствует своей паре систем t' и t'' (А и В). Технической политикой администрации сайта Самиздат разместить в статье swf-файл флэш-анимации запрещено. Ее можно посмотреть по ссылке на сайте, где таких ограничений нет: Swf-анимация изохронного тахиона
Изохроны показаны синими гиперболическими кривыми. Желтыми линиями показаны мировые линии света. Красным цветом выделены мировые линии изохронных тахионов, соответствующие каждой из изохрон. Точки a и b - начало и конец мировой линии одного из тахионов в одноименных ИСО А и В. Точка c - время соответствующей изохроны Tizo. Каждый кадр флэш-диаграмм Минковского относится к соответствующей паре движущихся систем отсчета. Крайние кадры относятся к случаю неподвижности одной из ИСО и скорости другой, близкой к скорости света. В этих случаях скорости изохронных тахионов также имеют скорости, близкие к скорости света. На среднем кадре диаграммы (симметричное положение систем отсчета) скорости систем отсчета разнонаправленны и равны друг другу. В этом случае мировые линии изохронных тахионов горизонтальны и их скорости равны бесконечности:
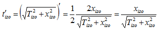
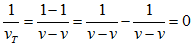
В числителе разность стремится к нулю, в знаменателе она равна нулю точно (более высокий порядок малости). Решить неопределённость можно, как и выше, вычислением обратной величины скорости:
Откуда делаем вывод, что скорость тахиона равна бесконечности. Интересен случай, когда обе скорости ИСО стремятся к какому-либо определенному значению, не равному нулю или скорости света (единице). В этом случае, мировая линия тахиона стремится к касательной к изохроне в точке пересечения её мировыми линиями ИСО. Мировая линия такого тахиона является хордой на изохроне. Поэтому при сближении мировых линий ИСО хорда вырождается в касательную. Уравнение касательной нас интересует только в части её наклона, который равен производной от уравнения изохроны:
Точка, в которой мы вычисляем наклон касательной, это точка пересечения мировых линий ИСО (они совпадают) и изохроны:
Подставляем это значение в уравнение производной в искомой точке:
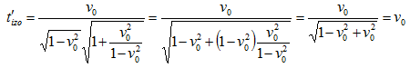
Заканчивая преобразования, получаем:
Значение производной мы нашли как зависимость времени t от расстояния x. Скорость же тахиона является обратной величиной, то есть:
Это значит, что скорость тахиона между двумя ИСО, движущимися с одинаковой скоростью, имеет значение, обратное по величине скорости этих ИСО. Если, например, обе ИСО неподвижны, то, как показано выше, скорость тахиона будет равна бесконечности. Для ИСО, движущихся со скоростью света (близкой к ней), скорость тахиона также будет равна скорости света (незначительно превышать её). Отметим, что эти результаты является предельными, поскольку при равенстве скоростей этих систем отсчета они сливаются, и как такового обмена тахионами между ними быть не может, мировая линия тахиона вырождается в мировую точку.
Доказанную теорему можно сформулировать и в ином виде. Теорема: на семействе гиперболических кривых вида y2=x2+a2, хорды, отсечённые центральными лучами, параллельны.
Выводы
Полученные результаты показывают, что в зависимости от наблюдателя скорость одного и того же изохронного тахиона может быть как незначительно превышающей скорость света, так и бесконечно большой, мгновенной. Это прямо ведёт к возникновению в специальной теории относительности парадокса, который назовём "парадоксом дуальности" скорости тахиона. Суть парадокса состоит в том, что две ИСО с точки зрения различных наблюдателей обмениваются одним и тем же тахионом как мгновенно, так и "медленно" - со скоростью, незначительно превышающей скорость света. То есть, в первом случае сеанс связи реально осуществляется даже между системами на разных концах Вселенной. Во втором случае реальный сеанс связи в разумные сроки (сравнимые с продолжительностью жизни наблюдателей) невозможен. Это означает, что специальная относительность для одного и того же наблюдателя системы с изохронным тахионом даёт одновременно два взаимоисключающих предсказания: связь есть и связи нет. Следовательно, специальная относительность не может применяться к сверхсветовым процессам, в частности, для описания тахионов. Заметим, что в данном случае речь не идёт о движении во времени и возникновении причинно-следственных парадоксов. Любой тахион, отправленный из одной движущейся системы отсчета в другую, с точки зрения получателя-релятивиста одновременно и был получен, и не был получен.
Единственной причиной парадокса является игнорирование обстоятельства, что скорость инварианта (скорость света) является предельной скоростью движения (сигнала), что в специальной теории относительности не существует скоростей выше скорости света. С другой стороны, противоречащая относительности гипотетическая (то есть, не существующая) частица тахион получила вполне логичное подтверждение своего существования: обмен квантовых запутанных частиц некоей квантовой информацией. Для того чтобы устранить это новое противоречие с относительностью, квантовую механику наделили мистическими свойствами: нелокальностью. Как ни называй агента (переносчика) этой квантовой информации - тахионом, квантино, информионом, ньютино - нет никаких иных разумных объяснений поведению запутанных частиц. Нелокальность - это либо цирковой фокус, то есть обман, либо мистика и всякие связанные с нею потусторонние и "тонкие" миры, либо всё-таки обмен какой-то материальной сверхсветовой субстанцией. Досветовые скорости - это граница применимости специальной относительности.
Иллюстрации и уравнения к статье (зеркала)
http://samlib.ru/p/putenihin_p_w/
https://cloud.mail.ru/public/8WpP/qeaUMAiGz
https://cloud.mail.ru/public/Hq7e/jZ9YZGJW9
https://yadi.sk/d/EZg36rrKmJDwk
https://drive.google.com/folderview?id=0B0uM56-EnG4ZaUFJb0YzY3YtcVU&usp=drive_web
http://fileload.info/users/putenikhin/