|
|
||
Подсказка к подготовке (форматированию) рисунков (уравнений) для статей на сайте Самиздата | ||







|
a |
b |
A |
B |
|
0 |
0 |
0 |
0 |
|
0 |
1 |
0 |
0 |
|
1 |
0 |
1 |
1 |
|
1 |
1 |
1 |
0 |
|
|
|
|
|
|
|
|
|
|

![]()

![]()


|
|
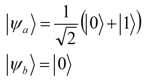
(1) |
![]()

![]()


|
|
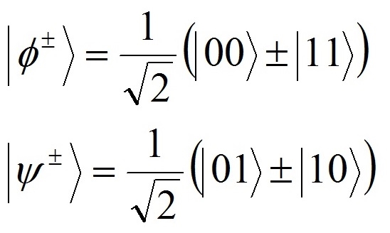
(2) |

![]()
![]()



![]()

![]()



![]()
![]()
![]()
![]()
|
Сигнал 0 |
Сигнал 1 |
||
|
Датчик 1+ |
Датчик 2+ |
Датчик 1+ |
Датчик 2+ |
|
0 |
0 |
0 |
0 |
|
0 |
1 |
- |
- |
|
1 |
0 |
- |
- |
|
1 |
1 |
1 |
1 |




![]()
![]()
|