|
|
||
Названием статьи взята фраза из книги Мардера "Парадокс близнецов". Распространено мнение, что в общей теории относительности парадокс близнецов не является парадоксом, а имеет четко обоснованное решение. В статье анализируется один из вариантов такого решения с использованием динамических диаграмм Минковского. | ||
The twins-paradox no longer exists.
Putenikhin P.V.
[email protected]
|
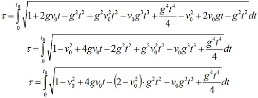
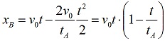
(1) |

Рис.1 Диаграмма Минковского - релятивистское решение "парадокса близнецов". Картина с точки зрения земного близнеца А.
|
(2) |
|
(3) |
|
(4) |
|
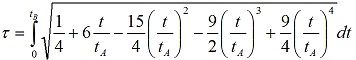
(5) |
|
(6) |

Рис.2 Диаграмма Минковского - релятивистское решение "парадокса близнецов". Картина с точки зрения улетавшего близнеца В.
|
(7) |
|
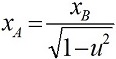
(1) |

Рис.3 Диаграмма Минковского - наглядная демонстрация принципа эквивалентности общей теории относительности на примере решения "парадокса близнецов". Картина с точки зрения близнеца В на космическом корабле.
|
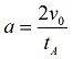
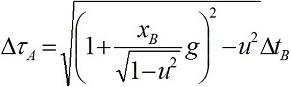
(8) |
- "ускорение" свободного падения в гравитационном поле корабля (единицах, соответствующих единичной скорости света);
- начальная скорость движения Земли по отношению к кораблю (в долях скорости света).
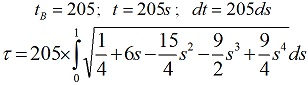
Таблица 1 |
t (tB) |
|
|
|
|
1 |
2 |
3 |
4 |
5 |
0 |
0,866 |
0,000 |
0,000 |
0,500 |
1 |
0,858 |
0,862 |
1,676 |
0,541 |
2 |
0,849 |
1,715 |
3,247 |
0,578 |
3 |
0,841 |
2,560 |
4,728 |
0,612 |
|
4 |
0,832 |
3,397 |
6,126 |
0,643 |
|
5 |
0,824 |
4,225 |
7,452 |
0,672 |
|
6 |
0,815 |
5,044 |
8,712 |
0,698 |
|
7 |
0,807 |
5,855 |
9,913 |
0,723 |
|
8 |
0,798 |
6,658 |
11,059 |
0,747 |
9 |
0,790 |
7,452 |
12,155 |
0,769 |
... |
|
|
|
|
98 |
0,038 |
44,318 |
44,351 |
1,374 |
99 |
0,030 |
44,353 |
44,373 |
1,374 |
100 |
0,022 |
44,378 |
44,389 |
1,375 |
|
101 |
0,013 |
44,396 |
44,400 |
1,375 |
|
102 |
0,005 |
44,405 |
44,405 |
1,375 |
|
103 |
-0,004 |
44,405 |
44,405 |
1,375 |
|
104 |
-0,012 |
44,397 |
44,400 |
1,375 |
|
105 |
-0,021 |
44,381 |
44,390 |
1,375 |
|
106 |
-0,029 |
44,356 |
44,374 |
1,374 |
|
107 |
-0,038 |
44,322 |
44,354 |
1,374 |
... |
|
|
|
|
196 |
-0,789 |
7,533 |
12,264 |
0,771 |
|
197 |
-0,798 |
6,739 |
11,173 |
0,749 |
|
198 |
-0,806 |
5,937 |
10,032 |
0,726 |
|
199 |
-0,814 |
5,127 |
8,837 |
0,701 |
|
200 |
-0,823 |
4,308 |
7,584 |
0,675 |
|
201 |
-0,831 |
3,481 |
6,265 |
0,646 |
|
202 |
-0,840 |
2,646 |
4,874 |
0,615 |
|
203 |
-0,848 |
1,802 |
3,402 |
0,582 |
|
204 |
-0,857 |
0,949 |
1,840 |
0,545 |
205 |
-0,866 |
0,000 |
0,000 |
0,500 |
tA = 237,685 |
|