Ныч Александр Владимирович
Sen 1. Экранирование гравитации в чёрных дырах уменьшает массу Вселенной

Самиздат: [Регистрация] [Найти] [Рейтинги] [Обсуждения] [Новинки] [Обзоры] [Помощь|Техвопросы]
Ссылки:
Школа кожевенного мастерства: сумки, ремни своими руками Типография Новый формат: Издать свою книгу
 Ваша оценка:

SEN 1. Экранирование гравитации в чёрных дырах уменьшает массу Вселенной

А. Ныч ©

E-mail: [email protected]
  14 января 2014

АННОТАЦИЯ

Теория SEN основана на анализе микроявлений, наблюдаемых в лабораториях. Применение ее к теории гравитации и космологии ведет к решению нескольких основных космологических проблем. Это физический механизм Большого Взрыва и инфляции, низкая плотность ближней Вселенной, большие скорости скоплений галактик и др. Также предсказываются неизвестные явления в земной и космической физике. Наиболее значительным из них для теории гравитации и космологии является экранирование гравитации и уменьшение массы Вселенной (УМВ). Целью данной статьи является показать два независимых наблюдательных подтверждения УМВ и его физический механизм.
Методы. 1) Анализ скоростей скоплений галактик. 2) Сравнение плотности современной Вселенной с предсказанием инфляционной модели Большого Взрыва.
Результаты. 1) Высокие скорости скоплений галактик невозможно объяснить просто их гравитационным взаимодействием, т. к. их масса в 3–8 раз меньше необходимой для этого. Наблюдаемые скорости скоплений объясняются, если вначале масса Вселенной была в NU=10.5±3.5 раз больше, чем в настоящее время.       2) Проблема "пропавшей тёмной материи" состоит в значительном расхождении между локальным (0.08±0.02) и глобальным (0.28±0.03) значением средней материальной плотности. Эта проблема объясняется, если вначале масса Вселенной была в NU=6×/1.4 раз больше, чем теперь.       3) Инфляционная модель предсказывает Ω=1. Но плотность современной Вселенной соответствует Ωo=0.08±0.02. Следовательно, после инфляции масса Вселенной уменьшилась в NU=12.5+4–2.5 раз. Эти три оценки NU получены из независимых данных, но они достаточно близки. Это подтверждает их соответствие действительности.     4) УМВ происходит при образовании и росте больших чёрных дыр (БЧД) и вызвано экранированием гравитации в них. Просветление квазаров происходит, когда большая часть первоначального облака поглощена БЧД, а галактики образуются из оставшейся небольшой части его. Это объясняет почему в центре галактик обычно есть БЧД.

Ключевые слова: теория гравитации, физика чёрных дыр, галактические течения, крапномасштабная структура Вселенной, инфляция

1. Введение

1.1. Современная космология и астрофизика.

В последние 20 лет в астрономии наблюдается революционный прогресс, связанный, в частности, с качественным улучшением инструментов:
1) Созданием больших наземных и космических телескопов всех диапазонов – от радио до гамма и нейтрино. В 1994–1998 г. начали работу 10 телескопов с диаметром зеркала 8–11 м.
2) Применением новых предельно чувствительных приёмников излучений (ПЗС), которые регестрируют 50–90 % фотонов, что в 30 раз больше, чем у фотоплёнок.
3) Применением компьютеров для автоматизации наблюдений, анализа их результатов и численного моделирования космических объектов.
Самые большие научные проекты – Hubble Space Telescope (HST, США), Large Hadron Collider (Европа) – мотивированы в основном или в большой мере проблемами космологии и астрофизики. В стадии изготовления инструменты следующего поколения, например, космический телескоп Джеймс Вэбб (JWST, США) с диаметром зеркала 6.5 м, тогда как у действующего с 1994 года HST – 2.4 м.
Это сделало возможным наблюдение сверхновых звёзд 1а типа (SN1a) в далёких галактиках. На основании этих данных был сделан вывод о том, что расширение Вселенной ускоряется, т. е. космологическая постоянная Λ больше нуля, как и предполагал Эйнштейн при её введении в общей теории относительности (Einstein 1917).
"За открытие ускорения при расширении Вселенной путем наблюдения за сверхновыми" и вызывающей его ТЭ присуждена премия Шо (Shaw) по астрономии в 2006 и Нобелевская премия по физике в 2011 г.
Со времени открытия ускорения расширения Вселенной в 1998 г исследованию его и вызывающей его ТЭ придаётся первостепенное значение. Современные инструменты обеспечивают получение многочисленных и разнообразных данных о ТЭ и ТМ. Так, если вывод об ускорении расширения Вселенной в 1998 г был сделан на основе наблюдений 42 далёких (0.18<z<0.83) и 18 близких SN1a, то к 2009 г., в результате выполнения специальных программ, зарегистрировано 397 SN1a с наибольшим z=1.55 (Hicken et al. 2009). Очередной проект "Supernova/Acceleration Probe" (SNAP, США) на основе специального космического телескопа с диаметром зеркала 2 м расчитан на регистрацию в течение 3 лет 6000 сверхновых с z до 1.7. Два других специальных проекта исследования ускоренного расширения Вселенной и ТЭ – "The Joint Dark Energy Mission (JDEM)/Omega" (США) и "SPACE (SPectroscopic All-sky Cosmic Explorer) Building the 3-d Map of the Accelerating Universe" (США) (Gehrels 2010; Wikipedia).
Теперь вывод об ускорении расширения Вселенной и существовании ТЭ делают также на основе определения с помощью космических рентгеновских телескопов эволюции функции масс скоплений, а также эволюции соотношения масс барионной и небарионной материи в скоплениях галактик.
Также активно и настойчиво исследуется и ТМ, существование которой обосновано предположил Цвики в 1930-х годах (Zwicky 1933, 1937).
В целом, большой объём достаточно точных и разнообразных астрономических данных позволил определить основные космологические параметры с высокой точностью – количество ТЭ ΩΛ=0.725±0.016, небарионной ТМ Ωch2=0.1126±0.0036, барионной материи Ωbh2=0.02255±0.000054, параметр Хаббла h=0.702±0.014 (Komatsu et al. 2010).
Но явный прогресс наблюдательной астрономии пока не привел к решению самых важных, принципиальных космологических и физических вопросов – о существовании и природе небарионной ТМ, ТЭ, причине и физическом механизме Большого Взрыва и инфляции.
Космологические проблемы остры для современной науки – ТМ не находит объяснения с 1933, а ТЭ с 1917 года. Притом, что масса ТМ в 50, а ТЭ в 200 раз больше массы звёзд, составляющей около 0.4 % массы Вселенной.
"Не будет преувеличением сказать, что выяснение физической природы ТЭ – это центральная проблема современного естествознания" (Лукаш, Рубаков 2008).
"Проблема ТМ стала одной из величайших загадок столетия, природа ТМ не известна по сей день, несмотря на тысячи посвященных ей статей!" (Эйнасто 2006).
"История ТМ прошла несколько стадий от второстепенной наблюдательной загадки до основной проблемы теории элементарных частиц." (Einasto 2013).
Ситуация напоминает кризис физики в конце 19 – начале 20 веков, когда с позиций классической физики в течение десятилетий не удавалось объяснить линейчатый спектр газов, спектр теплового излучения, теплоёмкость при низких температурах, устойчивость атома. Это было объяснено в рамках новой – квантовой – физики. Поэтому можно ожидать, что решение накопившихся космологических проблем будет радикальным, комплексным и плодотворным.
Комплексное решение накапливающихся научных проблем, как правило, связано с изменением устаревших парадигм. А. Эйнштейн об этом сказал: "Значительные проблемы, стоящие перед нами, не могут быть решены на том же уровне мышления, на котором мы их создали".
Но, в то же время "при своем появлении всякая научная истина проходит три стадии понимания. Сперва говорят, что это – абсурдно. Затем – в этом что-то есть. Наконец, это давно известно..." – Э. Резерфорд.
Из вышесказанного ясно, что выдвижение новых гипотез, теорий, направленных на решение основных космологических проблем, – актуально. Особенно таких, в которых решение является комплексным и ясным, т. е. достигается не путём введения новых тёмных понятий.

1.2. О понятиях "масса Вселенной" и "уменьшение массы Вселенной"

Выражение "масса Вселенной" означает здесь сумму гравитационной (или инертной) массы всех без исключения объектов – звёзд, планет, газа, тёмной материи и др. – во всем объёме Вселенной, включая ненаблюдаемую часть. Здесь могут быть коллизии, связанные с определением объёма в разных моделях, способом измерения массы и т. п. В рамках данной работы они не имеют принципиального значения. Потому что под "уменьшением массы Вселенной" понимается уменьшение со временем массы, находящейся в любом представительном объёме (с учётом увеличения его размера в процессе расширения Вселенной). Например, выделим тетраэдр в вершинах которого 4 галактики, находящиеся на расстоянии 100–500 Мпк друг от друга или сферу радиусом 100–500 Мпк вокруг некоторого близкого скопления или одиночной галактики. Известно как меняется этот объём со временем в рамках той или иной модели. "Уменьшение массы Вселенной" означает, что раньше в этом сопутствующем объёме находилась большая масса, чем теперь. И чем раньше, тем больше. В самом начале, например, в эпоху рекомбинации она была в ≈12.5 раз больше, чем в настоящее время. Также меняется и масса всей Вселенной – сумма масс всех её объёмов – для любых моделей.

1.3. О теории SEN

Теория SEN ("Symmetric thEory N", "Supersymmetric thEory N", "Special thEory N" и др.) основана на анализе микроявлений, наблюдаемых в лабораториях. Неожиданно оказалось, что SEN описывает некоторые явления как в микрообъектах, так и в таких больших, как Вселенная, потому что эти явления родственны. Но объективно это не удивительно, т. к. все основные физические теории также применимы от субъядерных (10–16 м) до космологических (1026 м) масштабов, основываясь на одних исходных понятиях и принципах. Оказалось, что SEN ведёт к комплексному решению основных космологических проблем: механизма Большого Взрыва, инфляции, тёмной материи (ТМ), тёмной энергии (ТЭ), низкой плотности ближней Вселенной и больших скоростей скоплений галактик.
Но с другой стороны отдельные выводы SEN, относящиеся к неисследованным областям земной и космической физики, противоречат популярным принципам стандартной физики и требуют их уточнения, т. е. изменения парадигмы. Например, SEN приводит к выводу, что масса Вселенной уменьшается, что противоречит закону сохранения массы-энергии. Подобные выводы, если нет наблюдательных подтверждений, обычно провоцируют обструкцию или игнорирование теории. Поэтому представляется более целесообразным представлять SEN в обратном порядке, начиная с конца – с тех неожиданных выводов, относящихся к космологии, которые имеют наблюдательные подтверждения, т. е. могут служить доказательствами адекватности теории. Тем более, что это приводит к решению актуальных космологических проблем.
Так в данной статье показано, что вывод об уменьшении массы Вселенной (УМВ) подтверждается наблюдаемыми скоростями галактик и скоплений. Также УМВ подтверждается низкой плотностью ближней Вселенной Ωo=0.08±0.02, притом, что согласно инфляционной модели Большого Взрыва Ω=1 (Линде 1984). Отсюда ясно, что популярное значение Ωo=0.28±0.03 относится к среднему возрасту Вселенной и равно среднему геометрическому начальной плотности Ω=1 и современной Ωo=0.08±0.02.
К тому же в космологии легче воспринимаются необычные явления, вроде возникновения (тем более исчезновения) вещества или энергии. Например, в 1950–60-е годы имела довольно большую поддержку космологов теория стационарной Вселенной (Steady State theory, Infinite Universe theory, continuous creation), которую предложили в 1948 году Фред Хойл (Fred Hoyle), Герман Бонди (Hermann Bondi), Томас Голд (Thomas Gold) и прочие в качестве альтернативы теории Большого Взрыва. Согласно этой модели Вселенная расширяется с ускорением (Λ>0), но её плотность остаётся постоянной за счёт непрерывного "творения" вещества из особого "энергетического поля" (Климишин, с. 506). Заметим, что какие-либо физические основания для такого "творения" отсутствуют. Лишь открытие квазаров и реликтового излучения резко уменьшило количество сторонников этой модели в конце 1960-х годов.
В настоящее время Wetterich (2013) развивает стационарную или сжимающуюся модель Вселенной, масса которой увеличивается со временем экспоненциально вследствие увеличения массы элементарных частиц. Это связано с увеличением масштаба массы – массы Планка. Wetterich (2013) показывает, что такая модель согласуется со всеми наблюдательными данными.
Последовательное применение SEN к космологии и гравитации приводит к следующим выводам: 1) коэффициент экранирования гравитационного взаимодействия больше нуля, 2) за время существования Вселенной её масса уменьшилась в ≈12.5 раз. Это противоречит принципам физики – закону сохранения массы-энергии и общепринятым теориям гравитации, в которых экранирования гравитации нет. Именно поэтому эти идеи не могли возникнуть эвристически – сами собой, а только как вывод определённой теории. В связи с этим необходимо добавить следующее:
1) В следующих публикациях будут приведены доказательство и теория УМВ, являющиеся частью SEN, согласующиеся со стандартной физикой после уточнения или ограничения отдельных её не вполне обоснованных обобщений. А пока УМВ может иметь статус новой эвристической космологической гипотезы. Её справедливость подтверждают, по крайней мере, высокие скорости скоплений галактик ("гравитационные аномалии") и низкая плотность ближней Вселенной, о чём идет речь в данной статье.
2) Гипотеза УМВ противоположна отмеченной выше, популярной в 1950–60-х годах теории стационарной Вселенной с непрерывным "творением" вещества из особого "энергетического поля". Но непрерывное увеличение массы Вселенной не имеет никаких физических оснований, тогда как УМВ имеет абсолютно понятную физическую природу (описано ниже) и теорию.
3) Если УМВ в ≈12.5 раз за всё время её существования всё же кажется невероятным с точки зрения стандартной физики, то следует вспомнить, что согласно современной – квантовой – модели Большого Взрыва вся Вселенная возникла за время 10–33 с в результате квантовой флуктуации в объёме 10–99 см3. И подобных вселенных сразу образовалось 10500, или даже 1010107 (Linde, Vanchurin 2010). Заметим, что в наблюдаемой Вселенной не более чем 1095 частиц, включая фотоны и нейтрино.
На фоне таких смелых моделей гипотеза об УМВ в ≈12.5 раз выглядит даже слишком простой и скромной, хотя и неожиданной.
К тому же следует отметить крайнюю странность свойств ТМ и ТЭ. Хотя мы уже почти привыкли к ним, всё же объективно они крайне необычны, загадочны, таинственны и даже парадоксальны. К тому же их так много – в 50 и 200 раз больше, чем звёзд.
Теория SEN пока не опубликована, но основные её положения проработаны и ясны. Литературно оформлена часть, относящаяся к космологии, астрофизике, гравитации. А именно, эта статья и ещё три, в которых даны: 1) физический механизм и теория УМВ, 2) объяснение ТМ и 3) ТЭ.

2. Наблюдательные подтверждения УМВ

2.1. Высокие скорости потоков галактик

При уменьшающейся массе Вселенной находят простое и естественное объяснение высокие скорости потоков галактик, необъясняемые стандартными моделями.

2.1.1. Местная группа (МГ) галактик движется относительно реликтового излучения в направлении сверхскопления Шепли (СШ) со скоростью 561–689 км/с (Lauer, Postman 1994; Kocevski et al. 2004; Сурдин 2003). К СШ движется также меньшее сверхскопление Большой Аттрактор (БА), находящееся между МГ и СШ, и скопления находящиеся позади МГ. Общая протяжённость потока и скорость составляют: 200 Мпк и 600–450 км/с (Mathewson et al. 1992), 60–150/h Мпк и 720 км/с (Willick 1999), 60–600/h Мпк (потоки во Вселенной) и 630 км/с (Hudson et al. 1999), где h≈0.7.
Согласно стандартной Λ-CDM модели инфляции вероятная скорость потоков галактик размером 70 Мпк – 110 км/с. Вероятность потоков размером более 50/h Мпк имеющих скорость более 400 км/с <1 % (Perivolaropoulos 2011), <0.1 % (Willick 1999). Поэтому наблюдаемый поток не объяснён стандартной моделью инфляции.
По данным спутника COBE МГ движется относительно реликтового излучения со скоростью 620–627 км/с в направлении l=271–276°,   b=+29±30° (Smoot et al. 1992; Kogut et al. 1993). Поток галактик, в который входит МГ, движется со скоростью 720–700 км/с в направлении l=266–272°, b=+19±10° (Willick 1999).
СШ и БА находятся на расстоянии 200 и 60 Мпк в направлении l=310° и 320°, b=+30° и 0° (Hoffman et al. 2001; Woudt et al. 2007; Kolatt et al. 1995). Центр скопления Девы, которое включает 160 больших галактик, является центром местного сверхскопления и находится на расстоянии 16 Мпк в направлении l=284°, b=+74°.
Из этих данных видно, что МГ и местный поток галактик двигаются в направлении ближайших наибольших масс – СШ+БА и сверхскопления Девы. Это указывает на то, что местный поток галактик вызван гравитацией. Потому что вероятность случайного попадания потока в "правильное" направление между ближайшими наибольшими массами с точностью 30–45° мала — 7–15 %.
Но масса СШ и БА по разным оценкам от 3 до 50 раз меньше необходимой для разгона МГ до наблюдаемой скорости. Поэтому БА считается "гравитационной аномалией" (Сурдин 2003, Wikipedia – Great Attractor). Но наше место во Вселенной не является выделенным, особенным, "аномальным". Поэтому тот факт, что наше место оказалось вовлечённым в "гравитационную аномалию" свидетельствует о том, что "гравитационные аномалии" распространены во Вселенной повсеместно.
Центр СШ находится на расстоянии 14000 км/с (200 Мпк). Чтобы притяжение к СШ могло ускорить МГ до 600 км/с, оно должно иметь массу 4.5×1017Ω0.4/h M (Quintana et el. 1995; Reisenegger et el. 2000), (2–5)×1017Ω0.4/h M (Hoffman et el. 2001), 2.8×1017/h M (Reisenegger et el. 2002). M - маcса Солнца.
Reisenegger et el. (2000, 2002) применили сферическую модель коллапса и нашли, что масса СШ в сфере радиусом 8.5/h Мпк не более (2–13)×1015/h M. Ragone et el. (2006) определили в СШ и окрестностях массы индивидуальных скоплений галактик в диапазоне 1013–15 M, их сумма составляет MSh=(4.8–11)×1015/h M. Это нижняя оценка, т. к. не учитывались группы <1013 M и одинокие галактики. Заметим, что приведённые оценки получены разными методами, но практически совпадают, и найденная масса СШ MSh≈6×1015/h M в 46 раз меньше необходимой.
Proust et el. (2005) нашли, что плотность (светимость) галактик в СШ и окрестностях в 5.4 раза больше, чем в среднем во Вселенной (сверхплотность). Из этого они вычислили MSh=5.4ΩρcrV=5×1016/h M (Ω=0.3 – материальная плотность Вселенной, V – исследованный объём), что в 5.5 раза меньше необходимой для ускорения МГ до 600 км/с.
Оценка Proust et al. (2006) в ~5 раз больше оценки Ragone et el. (2006) для того же объёма (c учетом вклада малых групп и одиноких галактик оценку Ragone et al. (2005) следует принять MSh=1016/h M). С т. з. концепции УМВ это расхождение связано с тем, что в ближней Вселенной Ω значительно меньше "среднего" значения 0.3. В ближней Вселенной (при z<0.002) Ωo≈0.08±0.02, и для этого значения из данных Proust et el. (2005) получим MSh=1.3×1016/h M, что только в 1.3 раза больше оценки Ragone et al. (2006) для того же объема. Это в 21 раз меньше массы, необходимой для разгона МГ до 600 км/с.
Между МГ и СШ на расстоянии 4000–5000 км/с (70 Мпк) находится сверхскопление Большой Аттрактор (БА), которое также приближается к СШ со скоростью 700–950 км/с (Erdoğdu et el. 2006, fig. 20). Чтобы притяжение к БА могло сообщить МГ скорость 570 км/с, его масса должна быть 5.4×1016 M (Lynden-Bell et el. 1988).
Но БА по объёму и количеству галактик в ~10 раз меньше СШ (Proust et el. 2005, fig. 3, 4; Reisenegger et el. 2002, fig. 1). Woudt et el. (2008, fig. 1) выделяют в БА 6 главных скоплений. Вириальная масса центрального и самого большого скопления в БА составляет 1015 M. Второе по массе скопление на 50–70 % менее массивно. Из этого и из данных Woudt et el. (2008, fig.1) можно оценить, что масса БА, скорее всего, не превышает (5–10)×1015 M, что в 6–11 раз меньше необходимой для разгона МГ до 570 км/с.
Относительный вклад СШ и БА в ускорение МГ остаётся плохо определённым и является предметом дебатов (Woudt et el. 2008). На основании приведенных данных можно оценить, что для сообщения МГ скорости 600 км/с масса СШ и БА должна быть в ≈4 раза больше, чем есть. Здесь необходимо сделать уточнение. По данным COBE МГ движется со скоростью 624 км/с относительно реликтового излучения в направлении l=273°, b=+30° (Smoot et al. 1992; Kogut et al. 1993). Это между направлением на БА+СШ и направлением на сверхскопление Девы (СД), центр которого находится на расстоянии 16 Мпк в направлении l=284°, b=+74°. Вектор скорости МГ составляет угол ≈40° с направлением на БА+СШ. Поэтому скорость МГ в направлении БА+СШ составляет 624×cos40°=537 км/с, и их масса, без учёта притяжения к СД, должна быть больше в ≈4×537/600=3.6 раза. Угол между направлением на БА+СШ и направлением на СД составляет ≈70°. Учитывая вклад притяжения к СД в ускорение МГ в направлении БА+СШ, оценку необходимой массы БА+СШ следует ещё снизить. Окончательная оценка – для разгона МГ до наблюдаемой скорости, масса БА+СШ должна быть больше чем есть в 3.1 раза.
С т. з. УМВ это значит, что в среднем масса БА и СШ была в 3.1 раза больше, чем наблюдается в настоящее время при z≈0.03. Предположив самую простую – линейную – зависимость массы от времени находим, что к z≈0.03 она уменьшилась в 5.2, а к настоящему времени масса БА и СШ уменьшилась в 6 раз.

2.1.2. Большая скорость "тёмного потока". "Тёмный поток", вероятно, является подобной "гравитационной аномалией", но предельно большой, и потому замеченной. Это поток более 1400 скоплений, удаляющийся со скоростью 600–1500 км/с относительно реликтового излучения. Эти скопления находятся на расстоянии от менее 1 до более 3 млрд. св. лет, поток имеет размер более 800 Мпк (Kashlinsky et al. 2008, 2009, 2010; Wikipedia – Dark flow).
"Тёмный поток" в 3–10 раз больше Местного потока к СШ и имеет в 1.5 раза большую скорость, поэтому вероятность его возникновения в соответствии со стандартной Λ-CDM моделью инфляции исчезающе мала. Kashlinsky et al. (2008, 2010) связывают его происхождение с доинфляционной неоднородностью и считают, что масса, к которой стремится "тёмный поток", находится за пределами наблюдаемой Вселенной.

2.1.3. Большая скорость (4700 км/с) столкновения двух скоплений 1E0657–56 (Пуля) установлена по наблюдениям ударной волны в рентгеновском газе (Clowe et al. 2006). Масса скоплений в радиусе 250 кпк найденная по линзированию – 2.8 и 2.3×1014 M (Bradać et el. 2006). Вириальный радиус большего скопления 2.3 Мпк, его масса 1015/h M оценена по слабому линзированию и рентгеновскому излучению (Springel, Farrar 2007). Mastropietro и Burkert (2008) нашли, что меньшее скопление в 6 раз легче, и что начальная относительная скорость скоплений должна была составлять 3000 км/с. Lee и Komatsu (2010) нашли, что вероятность такой скорости в рамках стандартной инфляционной Λ-CDM модели менее 10–9, поэтому это событие противоречит Λ-CDM модели.
Это поддерживает выдвигаемую концепцию о том, что высокая скорость столкновения скоплений вызвана их гравитационным взаимодействием, как и у других "гравитационных аномалий", а наблюдаемый недостаток необходимой для этого массы свидетельствует об УМВ.
В таблице 1 приведена необходимая масса скоплений 1E0657–56, рассчитанная с помощью формулы (2), исходя из опубликованных расчётных данных о скорости vo и расстоянии ro между скоплениями перед столкновением. Скопления 1E0657–57 имеют z=0.296, что соответсвует возрасту Вселенной 9.25×109 лет. Учитывая время образования скоплений и время их взаимопроникновения, время ускорения от v=0 принято T=8×109 лет.
Таблица 1. Масса скоплений 1E0657–56, необходимая для их гравитационного ускорения до скорости vo на расстоянии ro за 8×109 лет.
Источник vo, км/с ro, Мпк M, 1015 M
Allen, Schmidt, Fabian (2002) 1600 3.5 1.8
Springel, Farrar (2007) 2057 3.37 2.6
Mastropietro, Burkert (2008); Lee, Komatsu (2010) 3000 5 8.3
Среднее арифметическое    4.23
Измеренная масса скоплений 1.17×1015/h M в 2.6 раза меньше необходимой 4.23×1015 M для их гравитационного ускорения до наблюдаемой скорости. Приняв простейшие предположения – что 4.23×1015 M это средняя по времени масса системы, и масса уменьшалась линейно, – находим, что начальная масса была в 4.2 раза больше наблюдаемой. Таким образом, к возрасту Вселенной 9.25×109 лет, в котором мы наблюдаем эти скопления (z=0.3), их масса уменьшилась в 4.2 раза. Тогда к современному возрасту 13.7×109 лет, при сохранении того же темпа уменьшения их массы, она уменьшилась ещё в 2–4 раза. Из этого оцениваем, что за всё время существования Вселенной масса 1E0657–56 уменьшилась в 10–15 раз.
Итак, наблюдаемая масса в несколько раз меньше необходимой для разгона до измеренной скорости столкновения скоплений 1E0657–56, и это противоречит стандартной Λ-CDM модели инфляции. Поэтому уменьшение массы скоплений 1E0657–56 к возрасту Вселенной 9.25×109 лет в 4.2 раза оказывается единственной гипотезой, в принципе, объясняющей данный факт.
2.1.4. Большая скорость сближения галактик в комплексе Кома 1. Центр Кома 1 находится на расстоянии 15 Мпк от нас и на расстоянии 15 Мпк к северу от центра скопления Девы. Makarov и Karachentsev (2011) нашли, что комплекс Кома 1 состоит из 8 групп, 5 троек, 10 пар и 83 одиночных галактик – всего 206 галактик с общей массой 4.7×1013 M. Karachentsev, Nasonova и Courtois (2011) нашли, что в этом комплексе дальние галактики (25 Мпк) двигаются со скоростью –700 км/с, а ближние (10 Мпк) +200 км/с относительно Хаббловского потока. Чтобы гравитация была причиной этого, масса комплекса Кома 1 должна составлять 2×1013 M, т. е. в 4 раза больше массы, найденой вириальным методом и по отношению Талли-Фишера. Поэтому авторы называют это "тёмным аттрактором". Причём, ТМ должна находиться вне вириальных областей или даже расположена независимо от наблюдаемой материи (Karachentsev 2012, 2001).
C точки зрения теории SEN в настоящее время количество нерегистрируемой ТМ в Коме 1 невелико, т. е. полная масса в объёме Комы 1 близка к измеренной 4.7×1013 M. Но в среднем за всё время существования Вселенной масса в объёме Комы 1 была в 4 больше, чем теперь. Поэтому галактики Комы 1 получили намного более высокие скорости, чем могла бы вызвать их современная масса. Предполагая простейшую – линейную – зависимость массы от времени, находим, что первоначально масса в объёме Комы 1 была в 7 раз больше, чем теперь.

2.1.5. Большая скорость сближения галактик Млечный Путь (МП) и М31. Kahn и Woltjer (1959) пришли к выводу, что масса системы МП и М31 в 4 раза меньше необходимой для объяснения скорости их сближения гравитационным взаимодействием. Einasto и Lynden-Bell (1982) тем же вириальным методом, но по уточнённым данным, нашли, что для этого масса Местной группы (МГ) должна составлять (4.5±0.5)×1012 M (Einasto 2010).
Но измеренная методом нулевой скорости масса МГ составляет (1.2±0.2)×1012 M (Karachentsev 2001, 2005), (1.3±0.3)×1012 M (Karachentsev et el. 2002, Karachentsev, Kashibadze 2005), (1.9±0.2)×1012 M (Karachentsev et el. 2009), т. е. в 2.5–3.5 раза меньше необходимой.
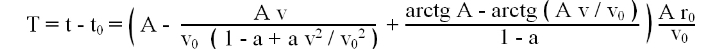
Найдём необходимую массу путём точного решения задачи двух тел.
Для двух тел закон сохранения энергии можно записать в виде:
                                        v = vo ( ( ro / r – 1 ) / a + 1 ) 1/2                                                 (1)
где:     ro,   r   –   начальное и конечное расстояние между телами;
vo,   v   –   модуль векторной разницы скоростей тел в начальном и конечном состоянии;
a = ro vo2 / ( 2 M G )   –   отношение кинетической энергии к потенциальной, умноженное на –1;
M – масса системы;   G=6.67×10–11 м3/кг/с2 – гравитационная постоянная.

Если тангенциальная составляющая скорости равна нулю, то dr/dt=v, и уравнение (1) может быть проинтегрировано аналитически. Для связанных систем (а<1) получим:                            
T = t – to = { A – A v / [ vo ( 1 – a + a v2 / vo2 ) ] + [arctg A – arctg ( A v / vo ) ] / ( 1 – a ) } A ro / vo       (2)
 
sten1for2-700pc.jpg [Ныч]                (2)

где: A = ( a / ( 1 – a ) ) 1/2;       to   и   t   –   начальное и конечное время.

Скорость сближения М31 и МП vo = 120±6 км/с (Binney, Tremaine 1987; Cox, Loeb 2007; Malik 2002), расстояние между ними ro=780 кпк (Ribas et el. 2005; McConnachie et el. 2005; Evans et el. 2000). Тогда с помощью формулы (2) находим, что скорость сближения 12 млрд. лет назад была v = 80, 61 и 0 км/с при M = 1.25, 1.7 и 2.98×1012 M, соответственно. А если неизвестная в настоящее время тангенциальная скорость М31 значительна, то необходимая масса будет ещё значительно больше. Именно тем, что в формуле (2) тангенциальная скорость полагается равной 0, объясняется то, что вириальным методом найдена в 1.5 раза большая оценка необходимой массы – (4.5±0.5)×1012 M (Einasto & Lynden-Bell 1982, Einasto 2010). Таким образом, (4.5±0.5)×1012 M является вероятной, а 3×1012 M минимальной массой МГ, необходимой для объяснения скорости сближения М31 и МП их гравитационным взаимодействием, что в 2–3 раза больше массы МГ (1.2–1.9)×1012 M.
С т. з. УМВ это значит, что в среднем масса МГ была (4.5±0.5)×1012 M, то есть в ≈3 раза больше, чем теперь (1.2–1.9)×1012 M. Предполагая простейшую – линейную – зависимость массы от времени, находим, что первоначально масса МГ была в 5 раз больше, чем теперь.
Вероятность того, что наблюдаемая скорость не вызвана гравитационным взаимодействием, а является случайной, незначительна. Действительно, по закону Хаббла М31 должна бы удаляться от МП со скоростью 55 км/с. Вместо этого она приближается со скоростью 120 км/с, т. е. скорость отличается от хаббловской на 175 км/с. В то же время дисперсия лучевых скоростей изолированных галактик относительно хаббловской зависимости в Местной вселенной радиусом 3 Мпк составляет σ=25 км/с (Karachentsev et al. 2002, 2009). Значит, скорость сближения отличается от хаббловской на 7σ. Вероятность этого менее 10–9.

2.1.6. Распространённость и масштабы высокоскоростных потоков галактик ("гравитационных аномалий"). Итак, скопления и группы галактик имеют в 3–8 раз меньшую массу, чем необходимо для объяснения их скорости гравитационным взаимодействием. Это иногда называют "гравитационной аномалией". Например, БА считают "гравитационной аномалией".
Наша Галактика вовлечена сразу в две "гравитационные аномалии" разных масштабов – в "местную" (сближение МП и М31), проявляющуюся на масштабе ~1 Мпк, и в связанную с движением МГ к БА+СШ, имеющую размер ~200 Мпк. Это говорит о распространённости "гравитационных аномалий" на всех масштабах – от групп размером 1 Мпк до сверхскоплений и ещё больших структур, таких как "тёмный поток", размером до 600/h Мпк (Hudson et al. 1999).
С увеличением массы и размеров структур "аномальность", т. е. скорости и недостаток массы, возрастают. Если для объяснения сближения М31 и МП (1 Мпк) со скоростью 120 км/с их масса должна быть в 2–3 раза больше чем есть, то в случае БА+СШ и 1E0657–57 (20–200 Мпк) в 3–5 раз, скорость 450–950 и 2000 км/с. Скорость "тёмного потока" (1000 Мпк) 600–1500 км/с (Kashlinsky et al. 2010).

2.1.7. Dekel (1994) на основе анализа оптовых потоков галактик находит Ωo=0.5–1, на уровне >3σ (>99.7 %) Ωo>0.2–0.3. Оценка Ωo по оптовым потокам характеризует среднюю плотность за весь период их формирования, т. е. практически за всё время существования Вселенной. Поэтому можно считать, что эта оценка получена по наблюдательным данным, относящимся в среднем к середине времени существования Вселенной.
Таким образом, по скоростям потоков галактик определено, что масса Вселенной в среднем по времени соответствовала Ωo=0.5–1=0.7×/1.4 (Dekel 1994). Но в ближней Вселенной мы находим Ωo=0.08±0.02. Это значит, что в настоящее время масса Вселенной в 8.7×/1.6 раза меньше, чем была в среднем за всё время её существования. Предполагая простейшую – линейную – зависимость массы от времени, находим, что первоначально масса Вселенной была в 16.4×/1.6 раз больше, чем в настоящее время.

2.1.8. Если масса Вселенной уменьшается, высокие скорости потоков галактик, "гравитационные аномалии" имеют очевидное объяснение. В таком случае в ранний (z>1) и средний (1>z>0.2) периоды СШ и БА действительно имели в среднем в 3–5 раз большую массу. За счёт этого МГ и БА получили наблюдаемую высокую скорость, а теперь двигаются в основном по инерции. Такое объяснение подтверждается тем, что МГ (620 км/с) и находящиеся впереди неё скопления БА (700–950 км/с), движутся с большей скоростью, чем находящиеся позади (450 км/с), т. е. дальше от СШ, и потому получившие меньшую скорость (Mathewson et al. 1992).
Также объясняется высокая скорость столкновения скоплений 1E0657–56, высокая скорость галактик в Кома 1 и высокая скорость сближения М31 и МП .
Вышеприведённый анализ потоков галактик разных масштабов указывает на то, что вначале масса сверхскоплений и больших скоплений массой 1015–16 M, таких как СШ, БА и 1E0657–56, была в 6–14, групп массой 1013–14 M, таких как Кома 1, в 7 раз, а небольших групп массой 1012 M, таких как МГ, в 5 раз больше, чем в настоящее время. На основе всех приведённых данных можно оценить, что в среднем масса Вселенной уменьшилась в 7–14=10.5±3.5 раз.

2.2. Проблема недостатка ТМ в местной Вселенной указывает на УМВ

Эта проблема состоит в существенном расхождение между оценками локальной Ω=0.08±0.02 и глобальной Ω=0.28±0.03 (Fukugita, Peebles 2004, Spergel et al. 2007) средней плотности вещества. Makarov и Karachentsev (2011), Karachentsev (2012, 2001) обсуждают три возможных объяснения этого парадокса: 1) скопления и группы окружены расширенным гало из ТМ, масса которой расположена, в основном, вне их вириальных радиусов; 2) исследованный местный объем Вселенной не является представительным, будучи расположенным в гигантской пустоте; 3) большая часть ТМ во Вселенной не связана со скоплениями и группами, а распределена как однородное тёмное "море" или в форме массивных тёмных глыб между скоплениями. Представлены аргументы в пользу последнего предположения. Bidin et al. (2012) нашли, что ТМ отсутствует в гало нашей Галактики.
С точки зрения SEN количество ТМ в ближней, т. е. современной Вселенной действительно невелико. Поэтому значение Ω=0.08±0.02 правильно характеризует полную плотность всей Вселенной в настоящее время. Значение Ω=0.28±0.03 тоже правильно, но оно относится к прошлому времени, когда масса ТМ во Вселенной была во много раз больше. Оно получено из совокупности различных данных в том числе из данных WMAP, относящихся к самой ранней Вселенной, когда её масса была максимальной. Поэтому Ω≈0.28 характеризует плотность Вселенной в среднем за всё время её существования и равно среднему геометрическому начальной плотности после инфляции Ω=1 и современной Ω≈0.08. Это значит, что в среднем масса Вселенной была в 3.5 раза больше, чем теперь. Из этого, предполагая простейшую – линейную – зависимость массы от времени, находим, что масса Вселенной уменьшилась в NU=6×/1.4 раз.
Таким образом, существование проблемы недостатка ТМ в местной Вселенной указывает на УМВ.

2.3. УМВ необходимо для согласования инфляционной модели с плотностью ближней Вселенной

2.3.1. Фактическая плотность ближней Вселенной. Rines et el. (2004) по данным, относящимся к z=0.02–0.04, находят Ω=0.1–0.18. При этом они подчёркивают, что "результат трудно согласовать с независимыми методами, предлагающими большее Ωo". При z<0.002 находят Ωo: 0.2e±0.4 (Davis, Peebles 1983), 0.1–0.3 (Hanski et el. 2001), 0.16±0.05 (Bahcall et al. 2000: Abate, Erdoğdu 2009), 0.1 (Brown, Peebles 1987, Sandage et el. 1972), 0.08 (Vennik 1984; Tully 1987), 0.08±0.02 (Makarov & Karachentsev 2011), <0.08 (>0.3 – исключено) (Governato et el. 1997), 0.05 (Magtesyan 1988), 0.03–0.07 (Karachentsev et el. 2003), 0.04 (Karachentsev 2005)). При z<0.002 среднее геометрическое Ωo=0.09×/1.5.
Далее мы принимаем самую позднюю оценку Ωo=0.08±0.02 (Makarov & Karachentsev 2011), которая совпадает с оценками Vennik (1984) и Tully (1987), и находится в середине вышеприведённого ряда оценок.

2.3.2. Плотность Вселенной в инфляционной модели. Согласно инфляционной модели Большого Взрыва плотность должна быть равна критической Ω=1 (Линде 1984, с. 193). Дело в том, что в процессе инфляции размер Вселенной увеличился, а кривизна уменьшилась, в 1026 и более раз (в некоторых моделях даже в 10105–10 раз – точные цифры зависят от выбора конкретной теории элементарных частиц и механизма, обеспечивающего раздувание). При этом соответственно уменьшению кривизны с большой точностью уравниваются кинетическая энергия расширения Вселенной и ее потенциальная энергия. Это значит, что в конце инфляции плотность равна критической с большой точностью – Ω=1±δ, где некритичность или кривизна δ<<1. Далее, в зависимости от соотношения 1) доинфляционной кривизны, 2) уменьшения кривизны в процессе инфляции, 3) увеличения кривизны в процессе последующего расширения по инерции, может реализоваться один из следующих двух случаев.

2.3.3.1. Доинфляционная кривизна не велика. Тогда после уменьшения кривизны в >1026 раз во время инфляции, её увеличение в процессе расширения по инерции недостаточно, чтобы кривизна стала значительной, так что остаётся δ<<1.
На стадии доминирования радиации росту кривизны-некритичности препятствует радиационное давление p=ε/3, где ε – плотность энергии. После рекомбинации в возрасте 380 тыс. лет р=0, и кривизна-некритичность возрастает по степенному закону δ ∝ t2/3 (Хлопов 1989). После рекомбинации время увеличилось в 13.7×109/(0.38×106)=36×103 раз. Соответственно, кривизна-некритичность δ ∝ t2/3 увеличилась в 11×102 раз, что намного меньше её уменьшения в >1026 раз во время инфляции. Поэтому с т. з. инфляционной модели плотность Вселенной в настоящее время должна быть равна критической с большой точностью, например, Ω=1±10–10...–20.
Но наблюдаемая плотность Вселенной явно меньше критической. Так в ближней Вселенной Ωo=0.08±0.02. Это противоречие наблюдательным данным считается значительным недостатком инфляционной модели. Он устраняется, если после инфляции масса Вселенной уменьшилась в NU=1/(0.08±0.02)=12.5+4–2.5 раз. В таком случае в конце инфляции плотность могла быть равной 1 сколь угодно точно, даже абсолютно точно Ω=1. А наблюдаемая ниже чем критическая плотность возникла после инфляции, вследствие не связанного с инфляцией процесса УМВ.

2.3.3.2. Доинфляционная кривизна велика. Поэтому, несмотря на большое уменьшение кривизны-некритичности во время инфляции, её рост во время расширения по инерции был достаточным, чтобы наблюдаемая Вселенная имела плотность заметно меньше критической. И в этом случае недостаток инфляционной модели, связанный с наблюдаемой плотностью Вселенной, сохраняется.
Дело в том, что переход расширения Вселенной от близкого к критическому Ω=1±0.1 к далеко некритическому Ω<10–2, когда Вселенная расширяется свободно, занимает всего 3 порядка увеличения "некритичности". В то время как за всё прошедшее время "некритичность" δ сначала уменьшилась на >26 порядков во время инфляции, затем увеличилась к настоящему времени на 3 порядкa в процессе расширения по инерции и далее будет увеличиваться бесконечно.
Но оказывается, что мы существуем как раз во время этого перехода от критического к свободному расширению – в наше время плотность явно меньше 1, но не на много, а всего на 1 порядок. Вероятность того, что это случайное совпадение, не имеющее конкретной причины, мала.
Ведь до нашего времени в течение >24 порядков изменения δ плотность была практически равна критической Ω=1–10–1...–30, и мы могли существовать в тот период и видели бы, что плотность равна критической.
И после нашего периода в течение всего последующего времени существования Вселенной, в принципе, бесконечного, плотность будет намного меньше критической Ω<10–2. И мы могли бы существовать в то время и видели бы, что Вселенная расширяется свободно по инерции.
Т. е. с подавляющей вероятностью мы должны бы наблюдать Вселенную критической плотности или свободно расширяющуюся. А тот факт, что мы наблюдаем кратковременный переход от Вселенной критической плотности к свободно расширяющейся не объясняется инфляционной моделью. Он требует специальной точной настройки независимых параметров этой модели: 1) доинфляционной кривизны, 2) уменьшения кривизны во время инфляции, 3) увеличения кривизны в процессе расширения по инерции.
Так что и в этом случае значительный недостаток инфляционной модели, связанный с наблюдаемой плотностью Вселенной, сохраняется в виде необходимости точной настройки независимых параметров Вселенной.
И в этом случае указанный недостаток инфляционной модели устраняется также как и в первом – если после инфляции масса Вселенной уменьшилась в NU≈12.5 раз.
Тогда после инфляции плотность была сколь угодно точно равной 1, даже абсолютно точно Ω=1. Это не требует точной (маловероятной) настройки, а является самым вероятным и естественным случаем, поскольку известно, что во время инфляции кривизна-некритичность уменьшилась в 1026 и более (до 101010) раз.
А наблюдаемая ниже чем критическая плотность возникла после инфляции вследствие независящих от инфляции процессов, вызывающих УМВ от Ω=1 до современной Ωo≈0.08.
Популярное значение Ωo=0.28±0.03 – так называемая "глобальная" плотность – характеризует плотность Вселенной в среднем за всё время её существования и равно среднему геометрическому начальной плотности Ω=1 и современной Ωo=0.08±0.02.
Таким образом концепция УМВ и инфляционная модель дополняют друг друга по меньшей мере при объяснении: 1) наблюдаемых скоростей потоков галактик, 2) наблюдаемой плотности Вселенной.
Следовательно, если инфляционная модель верна, то наблюдательные данные о плотности Вселенной являются прямым подтверждением УМВ.
3. Физический механизм УМВ

Если известно, что масса Вселенной уменьшается, то найти механизм этого явления не очень сложно, т. к. действительных возможных вариантов немного. Проанализировав все известные процессы, явления и объекты на Земле и в космосе с точки зрения возможности УМВ в 10–15 раз, можно найти лишь два достаточно масштабных подозрительных объекта или явления, о которых у нас нет или почти нет надёжных знаний – небарионная тёмная материя (ТМ) и большие чёрные дыры (БЧД).
Но существование небарионной ТМ остаётся гипотезой, доказать которую не удаётся около 50 лет, хотя для этого прилагаются все возможные ресурсы и усилия.
А БЧД находят в каждом квазаре, в центре почти всех галактик и многих шаровых скоплений. Существование и распространённость БЧД не вызывают сомнений.
Поэтому остаётся лишь один реальный подозрительный объект, и нам остаётся только выяснить механизм уменьшения массы в БЧД.
В настоящее время о БЧД достоверно известны лишь факт их существования и масса. Внутренняя структура у чёрных дыр (ЧД) звёздной массы и БЧД, скорее всего, различна. При коллапсе нейтронных или больших обычных выгоревших звёзд образуются малые – кварковые – ЧД. В них материальное ядро состоит из кварк-глюонной жидкости, кинематическая вязкость которой в 400 раз меньше, чем у воды. Взаимодействие между кварками и глюонами оказывается намного более сильно, чем считали ранее. В исследованиях высокоэнергичных столкновений ядер золота установлено, что даже при температуре ≈0.2 ГэВ кварк-глюонное состояние больше похоже на совершенную однородную текучую жидкость, чем на газ. С этим связывают однородность наблюдаемой Вселенной (Son et al. 2005; Kharzeev et al. 2005, Jacak and Muller 2012).
С увеличением массы ЧД давление становится больше, чем могут выдержать кварковые и другие аналогичные структуры из элементарных частиц, и тогда по современным представлениям должно происходить неограниченное сжатие вплоть до планковского размера 10–35 м и плотности 1096 кг/м3 и далее, пока не будет остановлено неизвестным нам механизмом. Далее мы будем рассматривать именно БЧД – это ЧД, в которых гравитационный коллапс не может быть остановлен возникновением каких-либо структур из элементарных частиц.
SEN приводит к выводу, что гравитационное взаимодействие уменьшается с увеличением плотности среды, разделяющей взаимодействующие тела и феноменологический коэффициент экранирования гравитации имеет конкретное значение не равное нулю. Это значит, что "видимая со стороны" гравитационная масса компактных тел меньше первоначальной массы тел, из которых образовалось компактное тело. По мере сжатия тела эффективность экранирования быстро увеличивается.
В обычных условиях экранирование неизмеримо мало. Но в ядре БЧД плотности и массы на десятки порядков больше обычных и там экранирование играет определяющую роль. Так что мы "видим" (гравитационно) только тонкий поверхностный слой ядра БЧД. Гравитационное взаимодействие внешнего наблюдателя с массами, находящимися за этим слоем, незначительно вследствие экранирования (подобно тому, как мы видим только свет, исходящий из тонкого поверхностного слоя с одной стороны Солнца). Поэтому при образовании и росте БЧД масса Вселенной уменьшается (гравитационная и инертная – согласно принципу эквивалентности). Просветление квазаров происходит, когда большая часть первоначального облака поглощена БЧД, а галактики образуются из оставшейся небольшой части его. Это объясняет почему в центре галактик обычно есть БЧД.
Детальная теория этого будет дана в следующей статье. Забегая вперёд отметим, что найденый коэффициент экранирования N на много порядков меньше верхней границы, определённой в земных экспериментах N<2×10–17m2kg–1 (Перцев и др. 1994; Simon et al. 1988).

4. Ввыводы

1. Потоки галактик с высокой скоростью – "гравитационные аномалии" – распространены на масштабах от 1 до 1000 Мпк.

2. Существование наблюдаемых крупных потоков галактик не может быть объяснено просто их гравитационным взаимодействием и противоречит стандартной Λ-CDM модели инфляции.

3. Наблюдаемая скорость скоплений галактик может быть вызвана их гравитационным взаимодействием в ранний период, если вначале скопления имели в несколько раз большую массу, чем наблюдается в настоящее время.

4. Из анализа наблюдательных данных о потоках галактик следует, что масса Вселенной уменьшилась в NU=10.5±3.5 раз.

5. Усреднённые данные о плотности ближней Вселенной соответствуют Ωo=0.08±0.02. Это согласуется с инфляционной моделью Большого Взрыва при УМВ после инфляции в NU=12.5+4–2.5 раз. Если инфляционная модель верна, то данные о плотности Вселенной являются прямым подтверждением УМВ.

6. Оценка глобальной плотности Ωo=0.28±0.03 основана на многих данных, относящихся к раннему, среднему и позднему возрасту Вселенной. Поэтому она в среднем соответствует среднему возрасту Вселенной и равна среднему геометрическому начальной плотности после инфляции Ω=1 и современной Ωo=0.08±0.02. Это объясняет известную "проблему недостатка ТМ в ближней Вселенной".

7. Концепция УМВ и инфляционная модель дополняют друг друга по крайней мере при объяснении: 1) скоростей потоков галактик, 2) плотности Вселенной.

8. Оценки УМВ по скоростям потоков галактик NU=10.5±3.5 и по плотности ближней Вселенной NU=12.5+4–2.5 получены из независимых данных, но они совпадают в пределах погрешностей. Это подтверждает их соответствие действительности.

9. УМВ может быть вызвано экранированием гравитационного взаимодействия в материальном ядре БЧД.

10. Вследствие экранирования гравитационного взаимодействия в материальном ядре БЧД гравитационная масса БЧД меньше гравитационной массы поглощенного вещества. Поэтому при образовании и росте БЧД происходит УМВ. Просветление квазаров происходит, когда большая часть первоначального облака поглощена БЧД. А галактики образуются из оставшейся небольшой части первоначального облака. Это объясняет почему в центре галактик обычно есть БЧД.

Физическая природа и теория УМВ, ТМ и ТЭ с точки
зрения SEN будут описаны в следующих публикациях.

ССЫЛКИ

Abate A., Erdoğdu P., Peculiar velocities into the next generation: cosmological parameters from the SFI++ survey, MNRAS, 400 (2009), 1541, [ArXiv:0905.2967]
Allen S.W., Schmidt R.W., & Fabian A.C., Chandra observations of RX J1347.5–1145: the distribution of mass in the most X-ray-luminous galaxy cluster known, MNRAS, 335 (2002), 256, [ADS]
Bahcall N.A., Cen R., Davè R., Ostriker J.P., Yu Q., The mass-to-light function: antibias and Ωm. ApJ, 541 (2000), 1, [ArXiv:0002310]
Bidin C.M., Carraro G., M'endez R.A., and Smith R., Kinematical and chemical vertical structure of the Galactic thick disk1,2 II. A lack of dark matter in the solar neighborhood. ArXiv:1204.3924v1
Binney J., Tremaine S., Galactic dynamics. Princeton, NJ, Princeton University Press, 1987, 747 p.
Bradać M., Clowe D., Gonzalez A.H., et al., Strong and weak lensing united iii: measuring the mass distribution of the merging galaxy cluster 1E0657–56, ArXiv:0608408 (2006)
Brown M.E., Peebles P.J.E., The local extragalactic field, the local mean mass density, and biased galaxy formation, ApJ, 317 (1987), 588–592
Cox T.J. and Loeb A., The Collision Between The Milky Way And Andromeda. ArXiv:0705.1170v1 (2007)
Clowe D., Bradać M., Gonzalez A.H., Markevitch M., Randall S.W., Jones C., and Zaritsky D., A direct empirical proof of the existence of dark matter. ApJ, 648 (2006), 109–113
Davis M., Peebles P.J.E., A survey of galaxy redshifts. V – The two-point position and velocity correlations, ApJ, 267 (1983), 465–482
Dekel A., Dinamics of cosmic flows, Anny. Rev. AA, 32 (1994), 371–418, [ArXiv:9401022]
Einasto J. & Lynden-Bell D., On the mass of the Local Group and the motion of its barycentre, MNRAS, 199 (1982), 6, [ADS]
Einasto J., Dark Matter. Tartu Observatory, Estonia. ArXiv:0901.0632v2 (2010)
Einasto J., Dark Matter. ArXiv:1308.2534v1 (2013)
Einstein A., Sitz. Preuss. Akad. d. Wiss. Phys.-Math (1917) 142
Erdoğdu P., Lahav O., Huchra J.P., Colless M., et al., Reconstructed Density and Velocity Fields from the 2MASS Redshift Survey, MNRAS, 373 (2006), 45–64, [ArXiv:0610005v1]
Evans N.W., Wilkinson M.I., Guhathakurta P., Grebel E.K., and Vogt S.S., Dynamical Mass Estimates for the Halo of M31 from Keck Spectroscopy. ApJ, 540 (2000), 9–12
Fukugita M., Peebles P.J.E., The cosmic energy inventory, ApJ, 616, (2004) 643–668
Gehrels N., The Joint Dark Energy Mission (JDEM)/Ω. ArXiv:1008.4936 (2010)
Governato F., Moore B., Cen R., Stadel J., Lake G., and Quinn T., The Local Group as a test of cosmological models. New Astronomy, V2, Issue 2, 91–106, [ArXiv:9612007 (1997)]
Hanski M. O., Theureau G., Ekholm T., Teerikorpi P., Kinematics of the local universe IX. The Perseus-Pisces supercluster and the Tolman-Bondi model. AA, 378 (2001), 345–360, [Arxiv:0109080]
Hicken M., Wood-Vasey W.M., Blondin S., Challis P., Jha S., Kelly P.L., Rest A., Kirshner R. P., Improved Dark Energy Constraints from ~100 New CfA Supernova Type Ia Light Curves. АrXiv:0901.4804v3 (2009)
Hoffman Y., Eldar A., Zaroubi S., Dekel A., The Large-Scale Tidal Velocity Field, astro-ph/0102190 (2001)
Hudson M.J., Smith R.J., Lucey J.R., Schlegel D.J., and Davies R.L., A large-scale bulk flow of galaxy clusters. ApJ, 512 (1999), L79–82
Jacak B.V. and B. Muller, The Exploration of Hot Nuclear Matter, Science, 337 (2012), 310-314, [перевод на русский]
Kahn F.D. & Woltjer L., Intergalactic Matter and the Galaxy. ApJ, 130 (1959), 705
Karachentsev I.D., Hidden mass in the Local Universe. Physics-Uspekhi 44(8) (2001) 818–821; Караченцев И.Д., Скрытая масcа в Местной вселенной, УФН, 171 (2001), No. 8, 860–863
Karachentsev I.D., Sharina M. E., Makarov D.I., et al., The very local Hubble flow. AA, 389 (2002), 812–824
Karachentsev I.D., Makarov D.I., Sharina M. E., et al., Local galaxy flows within 5 Mpc. AA, 398 (2003), 479–491 [ArXiv:0211011]
Karachentsev I.D. and Kashibadze O.G., Total masses of the Local Group and M 81 group derived from the local Hubble flow. ArXiv:0509207v2 (2005)
Karachentsev I.D., The local group and other neighboring galaxy groups. AJ, 129 (2005), 178–188, [ArXiv:0410065]
Karachentsev I.D., Kashibadze O.G., Makarov D.I., and Tully R.B., The Hubble flow around the Local Group. MNRAS, 393 (2009), 1265–1274, [ArXiv:0811.4610]
Karachentsev I.D., Nasonova O.G.,Courtois H. M., Fast motions of galaxies in the Coma I cloud: a case of Dark Attractorar. ArXiv:1109.2783v1 (2011)
Karachentsev I.D., Missing dark matter in the local universe. ArXiv:1204.3377v1 (2012)
Kashlinsky A., Atrio-Barandela F., Kocevski D., and Ebeling H., A measurement of large-scale peculiar velocities of clusters of galaxies: results and cosmological implications, ApJ, 686 (2008), 49–52
Kashlinsky A., Atrio-Barandela F.,. Kocevski D,. Ebeling H., A measurement of large-scale peculiar velocities of clusters of galaxies: technical details. ApJ, 691 (2009), 1479–1493, [АrXiv:0809.3733v2]
Kashlinsky A., Atrio-Barandela F., Ebeling H., Edge A., and Kocevski D., A new measurement of the bulk flow of x-ray luminous clusters of galaxies. ApJ Letters, 712 (2010), 81–85, [ArXiv:0910.4958]
Kharzeev D., Busza W., Aronson S., Early Universe was a liquid, Nature, 19 April 2005
Kocevski D.D., Mullis C.R., & Ebeling H., The Dipole Anisotropy of the First All-Sky X-Ray Cluster Sample, ApJ, 608 (2004), 721
Kogut A., Lineweaver C., Smoot G.F., Bennett C.L., Banday A., Boggess N.W., et al., Dipole Anisotropy in the COBE Differential Microwave Radiometers First-Year Sky Maps, ApJ, 419 (1993), 1
Kolatt T., Dekel A., Lahav O., Large-scale mass distribution behind the Galactic plane, MNRAS, 275 (1995), 797
Komatsu E., Smith K. M., Dunkley J., et al., 2010. Seven-year Wilkinson microwave anisotropy probe (WMAP) observations: cosmological interpretation. Accepted for Publication in the Astrophysical Journal Supplement Series. АrXiv:1001.4538v3
Lauer T.R. and Postman M., The motion of the Local Group with respect to the 15000 kilometer per second Abell cluster inertial frame. ApJ 425 (1994), 418–438
Lee J., Komatsu E., Bullet Cluster: A Challenge to Λ-CDM Cosmology, . ApJ, 718 (2010), 60, [ArXiv:1003.0939v2]
Lynden-Bell D., Faber S.M., Burstein D., Davies R.L., Dressler A., Terlevich R., & Wegner G., ApJ, 302 (1988), 536
Linde A. and Vanchurin V., How many universes are in the multiverse?  ArXiv:0910.1589v3 (hep-th) (2010) 
Lukash V.N., Rubakov V.A., Dark energy: myths and reality. Phys. Usp., 51 (2008), 283–289, [ArXiv:0807.1635v1], В.Н.Лукаш, В.А.Рубаков. Тёмная энергия: мифы и реальность. УФН, 178 (2008), No. 3, 301–308
Magtesyan A.P., Groups of galaxies. I. Identification principles, Astrophysics, 28 (1988), 150, [ADS]
Makarov D.I., Karachentsev I.D., Galaxy Groups and Clouds in the Local (z~0.01) Universe. MNRAS, 412 (2011), No. 4, 2498–2520, [ArXiv:1011.6277]
Malik T., Crash Course: Simulating the Fate of Our Milky Way. , Space.com (07 May 2002)
Mastropietro C., Burkert A., Simulating the Bullet Cluster. MNRAS, 389 (2008), 2, 967–988, [АrXiv:0711.0967]
Mathewson D.S., Ford V.L., & Buchhorn M., A southern sky survey of the peculiar velocities of 1355 spiral galaxies, ApJS, 81 (1992), 413
McConnachie A.W., Irwin M.J., Ferguson A.M.N., Ibata R.A., Lewis G.F., Tanvir N., Distances and metallicities for 17 Local Group galaxies. MNRAS, 356 (2005), 979, [ArXiv:0410489]
Perivolaropoulos L., CDM: Triumphs, Puzzles and Remedies. ArXiv:1104.0539v1 (2011)
Proust D., Quintana H., Carrasco E.R., et al., Structure and dynamics of the Shapley Supercluster. Velocity catalogue, general morphology and mass. A&A, 447 (2006), 133–144, [ccsd-00009281, v1 (2005)]
Quintana H., Ramirez A., Melnick J., Raychaudhury S., & Slezak E., Spectroscopic Observations in the Cluster A3558 (Shapley 8) and in the core region of the Shapley Supercluster, AJ, 110 (1995), 463
Radburn-Smith D.J., Lucey J.R., Woudt P.A., Kraan-Korteweg R.C., Watson F.G., Structures in the Great Attractor Region. MNRAS, 369 (2006), 1131–1142. [ArXiv:0603692v1]
Ragone C.J., Muriel H., Proust D., Reisenegger A., Quintana H., Identification and study of systems of galaxies in the Shapley supercluster. A&A, 445 (2006), 819–825
Reisenegger A., Quintana H., Carrasco E.R., Maze J., The Shapley supercluster. 3. Collapse dynamics and mass of the central concentration. AJ, 120 (2000), 523–532. [ArXiv:0007211v1]
Reisenegger A., Quintana H., Proust D., Slezak E., Dynamics and Mass of the Shapley Supercluster, the Largest Bound Structure in the Local Universe. The ESO Messenger, No. 107 (2002), 18–23, [ADS]
Ribas I., Jordi C., Vilardell F., Fitzpatrick E.L., Hilditch R.W., Guinan E.F., First Determination of the Distance and Fundamental Properties of an Eclipsing Binary in the Andromeda Galaxy, ApJ, 635 (2005), 37–40
Rines K., Geller M.J., Diaferio A., Kurtz M.J., and Jarrett T.H., Cairns: the cluster and infal region nearby survey. II. Environmental dependence of infrared mass-to-light ratios, AJ, 128 (2004), 1078–1111
Sandage A., Tammann G.A., & Hardy E., Limits on the Local Deviation of the Universe from a Homogeneous Model, ApJ, 172 (1972), 253
Simon Z., Kostelesky J., Zeman A., 1988, On the Gravitation Absorption Hypotesis, Studia geoph. et geod. Praha, 32, 16–23.
Smoot G.F., Bennett C.L., Kogut A., Wright E.L., Aymon J., Boggess N.W., Structure in the COBE Differential Microwave Radiometer First-Year Maps, ApJ, 396 (1992), 1
Son D.T., Kovtun P., Starinets A., Exotic physics finds black holes could be most "perfect," low-viscosity fluid, University of Washington, archived article, March 21, 2005, [Грани.Ру]
Spergel D.N., Bean R., Dor'e O., Nolta M.R., Bennett C.L., Dunkley J., et al., Three-year Wilkinson Microwave Anisotropy Probe (WMAP) observations: implications for cosmology, ApJS, 170 (2007), 377–408, [ArXiv:0603449]
Springel V., & Farrar G.R., The speed of the "bullet" in the merging galaxy cluster 1E0657-56, MNRAS, 380 (2007), 911, [АrXiv:0703232v2]
Tully R.B., Nearby groups of galaxies. II. An all-sky survey within 3000 kilometers per second, ApJ, 321 (1987), 280
Vennik J., A list of nearby groups of galaxies, Tartu Astrofuusika Observatoorium Teated, 73 (1984), 1. And Dissertation, 1987, Tartu
Wetterich C., Universe without expansion. Physics of the Dark Universe, 2 (2013), 184–187 [ArXiv:1303.6878v4]
Willick J.A., The Las Campanas observatory/Palomar 10,000 kilometer per second claster survey. Constraints on large-scale streaming. ApJ, 522 (1999), 647–660
Woudt P.A., Kraan-Korteweg R.C., Lucey J., Fairall A.P.,. Moore S.A.W., The Norma Cluster (ACO 3627): I. A Dynamical Analysis of the Most Massive Cluster in the Great Attractor. MNRAS, 383 (2008), 445–457, [АrXiv:0706.2227v1]
Zwicky F., The redshift of extragalactic nebulae, Helv. Phys. Acta, 6 (1933), 110
Zwicky F., On the Masses of Nebulae and of Clusters of Nebulae, ApJ, 86 (1937), 217
Климишин И.А., Астрономия наших дней. 3-е изд, М.: Наука, 1986, 560 с.
Линде А.Д. "Раздувающаяся Вселенная", УФН, 144 (1984), 177–214
Перцев Б.П., Кузнецов М.В., Иванова М.В., Ковалева О.В, Кузнецова Л.В., Земноприливные наблюдения и гипотеза экранирования тяготения / Физика Земли, No. 10 (1994), 70–72.
Сурдин В.Г., Сверхскопление Шепли – крупнейший архипелаг галактик, Природа, 2003, No. 1, 63–66.
Хлопов М.Ю., Х57 Космомикрофизика. М.: Знание, 1989. 64 с. –(Новое в жизни, науке, технике Сер. "Физика", No. 3)
Эйнасто Я.Э., Сказание о тёмной материи. Тарту, издательство "Ильмамаа", 2006, [копия 1, 2]

 Ваша оценка:

Связаться с программистом сайта.

Новые книги авторов СИ, вышедшие из печати:
О.Болдырева "Крадуш. Чужие души" М.Николаев "Вторжение на Землю"

Как попасть в этoт список

Кожевенное мастерство | Сайт "Художники" | Доска об'явлений "Книги"