Николаев Семен Александрович
Эфирная частица

Самиздат: [Регистрация] [Найти] [Рейтинги] [Обсуждения] [Новинки] [Обзоры] [Помощь|Техвопросы]
Ссылки:
Школа кожевенного мастерства: сумки, ремни своими руками Типография Новый формат: Издать свою книгу
 Ваша оценка:
  • Аннотация:
    В материальном мире всё дискретно, то есть всё состоит из частиц, которые имеют массу. Что тогда может быть без массы? Фантазии, иллюзии, мечты и прочее. Более 400 лет считали, что воздух не имеет массы. И, наконец, Авогадро объяснил всем, что раз что-то существует как объект и его можно зарегистрировать, то оно материально и имеет массу. Как он это сделал?

Откорректировано 24.02.2016г.
  Сначала.
  Доклад на Международном Конгрессе-2016 "О материальности объектов и процессов"
  https://www.youtube.com/watch?v=TToNphUue38
  
  В материальном мире всё дискретно, то есть всё состоит из частиц, которые имеют массу.
  Что тогда может быть без массы? Фантазии, иллюзии, мечты и прочее. Всё перечисленное принято отделять от материального мира, и принято называть идеалистическим миром.
  Но предлагают ещё и нечто среднее. Что-то материальное существует, оно поддаётся регистрации через измерения или вычисляется через дефект массы. Но одновременно утверждается, что оно не имеет массы.
  Что можно про это сказать?
  Интересно, те, кто утверждает такое, заблуждаются или не понимают?
  Однако, всё сложнее. Это просто жульничество, введённое в науку, намерено, с 1905 года.
  Рассмотрим этот вопрос.
  Речь пойдёт об измерении массы воздуха, массы фотона и массы эфирной частицы.
  1. Более 400 лет считалось, что воздух не имеет массы. Также считалось, что он реально существует. А, раз он реально существует, то он должен быть материальным, то есть обладать массой. Это было серьёзное противоречие. Получалось, что воздух существует, материален, но без массы.
  И, наконец, в 1811 г. итальянский физик Авогадро (1776 - 1856) объяснил всем, что раз что-то существует как объект и его можно зарегистрировать, то оно материально и имеет массу. Только нужно научиться её измерять.
  Как он это сделал?
  Авогадро, как и многие учёные того времени (Гей-Люссак, Ампер и другие) наблюдал за объёмами, вступающих в химическую реакцию газов и за объёмами газов, получающихся в результате химических реакций. Авогадро первым сделал предположение от этих наблюдений. Смысл этого предположения в следующем. В равных объёмах различных газов, взятых при одинаковых температуре и давлении, содержится одно и то же число молекул. В частности, при давлении 1 атм. и температуре  [], объём одной грамм-молекулы равен 22,4л. Это предположение позволило точно определить атомную массу, состав молекул и характер происходящих химических реакций. И, стало возможным определять массу газа, так как выяснилось, что масса одного моля пропорциональна массе отдельной молекулы.
  Таким образом, масса моля или единицы объёма газа вычисляется через атомные веса атомов и молекул газа. Всё косвенно. Никаких взвешиваний и сравнений с эталоном массы. Всё через количество структурных единиц - атомов и молекул газа. Это все признают и в этом никто не сомневается. Главное, чтобы не нарушался закон сохранения массы и энергии.
  Итак, воздух как, оказалось, имеет массу. Противоречие наконец-то было снято. Реальное существование чего-либо и его материальность подтверждается наличием массы.
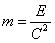
  И очень важное резюме. Стало возможным дать определение массы. Масса - это количественная мера материи, представляющая собой количество структурных единиц, из которых она состоит. В данном случае, у вещества структурные единицы - это атомы и молекулы. Грамм-моль вещества содержит строго определённое число атомов или молекул. Это число  [] называют постоянная Авогадро.
  2. Теперь речь пойдёт об измерении массы фотона.
  Сначала рассмотрим, как определяется масса фотона. Затем рассмотрим вопрос, почему нас заставляют в школе и институте заучивать, что у фотона массы нет. И, какие у них основания так утверждать.
  Рассчитать массу фотона легко и просто. У фотона можно измерить только частоту. По формуле Планка вычисляется энергия фотона  []. Затем через формулу связи энергии, массы и скорости  [] вычисляется масса фотона  []. Скорость фотона равна скорости света.
  Таким образом, у фотона измеряется частота и по формулам, связывающим все параметры фотона, вычисляем массу.
   [],  [].
  Ни в коем случае нельзя пренебрегать законом сохранения массы и энергии. В данном случае это формула связи энергии, массы, которая утверждает, раз имеется энергия, значит, имеется и масса, которая со скоростью переносит эту энергию.
  Масса фотона - это количество структурных единиц, из которых состоит фотон. В данном случае структурной единицей является эфирная частица.
  Какие опыты подтверждают наличие массы у фотона?
  Это - дефект массы при реакциях термоядерного синтеза, аннигиляция электрона и позитрона, внешний фотоэффект, опыты Комптона и Лебедева.
  Во всех этих случаях фотон имеет массу. При внешнем фотоэффекте фотоны выбивают из атомов и молекул электроны, что без наличия массы невозможно. Опыт Комптона с рассеиванием рентгеновских фотонов на электронах, доказывает, что фотоны обладают массой. Опыт Лебедева, доказывающий, что видимый свет (фотоны) осуществляет давление на вещество, и одновременно доказывает, что фотоны имеют массу.
  Все эти опыты доказывают, что фотоны самостоятельные частицы, и они имеют массу. Фотоны реальны, они регистрируемые, значит, материальны и как положено частицам имеют массу, которая легко вычисляется.
  Но вот 'современная' наука и навязанная всем нам 'программа' образования утверждают, что у фотона массы нет. А, если есть, то это какая-то масса 'покоя'. Вот так и есть, и нет?
  Каким экспериментом доказано, что фотон не имеет массы? И, что формулой связи энергии, массы и скорости, в данном случае, пользоваться нельзя?
  Таких экспериментов нет. А что есть? Только голословное утверждение. Кому-то хочется всё запутать, чтобы у фотона не было массы и всё. На каких лохов такое рассчитано? Да и ещё такое заставляют всех заучивать в школах и институтах. Об образовании здесь
  http://samlib.ru/n/nikolaew_s_a/chtotakoeutwerzhdennajaprogrammaobrazowanija.shtml
  Как можно пренебрегать законом сохранения массы и энергии. Ни масса, ни энергия не могут исчезать в никуда и вновь появляться из ниоткуда.
  Для чего такая суета?
  http://samlib.ru/n/nikolaew_s_a/afera20weka.shtml
  Сейчас узнаете, зачем у фотона отнимают массу.
  ПРИМЕЧАНИЕ. Как выяснилось из эксперимента с эффектом Физо формула  [] и данная модель механики (механика Гюйгенса) ошибочны. Формула должна быть  [], что соответствует механике Галилея-Ньютона. Ошибка очень существенная и производить расчёты по ошибочной формуле нельзя. Расчёты эфирной частицы произведём по формуле  []. Кроме того, коэффициент связи частоты и энергии фотона (постоянная Планка) в формуле  [] введён в формулу без эксперимента и он ошибочен. Да и сама формула не доказуема и считается недоказуемой гипотезой. Расчёты будем производить с ошибочной постоянной Планка. В этом случае сохранится только пропорциональность исчисления (что больше другого и во сколько раз).
   3. Что происходит с фотоном, излученным очень дальней галактикой. Рассмотрим, что происходит с характеристиками фотона, начиная с его излучения и кончая регистрацией его наблюдателем.
  Когда фотон излучился, то у него была частота  []. Она определяется по лабораторному спектру. Остальные его характеристики можно рассчитать по формулам
   [] и  [].
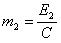
  Наблюдатель может зарегистрировать и измерить только частоту  [] принятого фотона и сравнить её с лабораторным спектром. Остальные характеристики принятого фотона можно рассчитать по формулам  [] и  [].
  Далее, достигший наблюдателя фотон имеет понижение частоты  [], энергии  [] и массы  [].
  Понижение частоты, энергии и массы связано со временем полёта фотона. Чем больше время полёта фотона, тем больше понижение частоты, энергии и массы.
  Задайтесь вопросом, почему понизилась частота, а вместе с ней и другие характеристики фотона?
  Если исходить из материалистических представлений и не пренебрегать законом сохранения массы и энергии, то это будет наглядно видно из формул. Стала масса меньше, то по формуле  [] стала меньше и энергия. Раз стала энергия меньше, то по формуле  [] стала меньше и частота. Но ни в коем случае не наоборот.
  Как происходит потеря массы у фотона? Так как кроме колебаний фотона в полёте с ним больше ничего не происходит, поэтому потерю массы фотона надо связать с колебаниями.
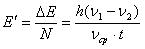
  Можно узнать потерю энергии за одно колебание. Для этого необходимо взять какое-то время полёта фотона. На этом участке определить потерю энергии фотоном  [] и поделить на количество колебаний за время полёта  [].
   [].
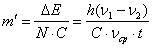
  Для массы частицы получим
   [].
  Задаваясь количественными значениями параметров, можно получить оценочные значения потерь фотона при одном колебании  [] и  [].
  Это энергия и масса эфирной частицы. Назовём её - фотоник.
  Фотон видимого диапазона с частотой  []Гц излучает в 1 секунду  [] эфирных частиц.
  Полный расчёт массы и энергии эфирной частицы Вы найдёте в 8 издании моей книги 'Эволюционный круговорот материи во Вселенной'.
  А теперь рассмотрим, как объясняет понижение частоты фотона 'современная' наука? А вот как. У достигшего наблюдателя фотона произошло понижение частоты потому, что пространство, в котором он летел, расширяется. Вы можете увидеть или измерить, как пространство расширяется? Ведь пространство - это пустота. Подумайте можно ли пустоту измерить? Измерить можно только перемещение объектов. Вы измеряете, перемещение объектов, но какое отношение они имеют к пустоте. Пространство-пустота не обладает ничем материальным, чтобы ей расширяться. Расширяться могут объекты, но не пустота. Вот такие обоснования у 'официальной' и 'современной' науки в части понижения частоты фотона. При этом массы у фотона не должно быть. Просто так, без оснований. Конечно, большую скорость фотона нельзя считать основанием для изъятия у фотона массы. Приказано и всё. Не рассуждать.
  Вот и сравните. Мы только что выявили простую причину понижения частоты фотона. Причина материальна - это потеря массы фотоном, и как следствие изменение всех характеристик фотона. И, главное, не нарушать закон сохранения массы и энергии.
  Теперь Вы поняли, почему так рьяно утверждают, что у фотона нет массы. Потому, что теряемая масса идёт на создание эфира. Нет у фотона массы, тогда нет и эфира. Правда вместе с этим нарушен закон сохранения массы и энергии. А этого делать никогда нельзя.
  Одно колебание фотона есть минимальное событие в микромире. А излучаемая при этом частица обладает самой минимальной массой и инерцией (энергией) в природе. Эти расчёты и являются экспериментом в доказательстве существовании эфира. Точно так же как и эксперимент в доказательстве нейтрино через дефект массы. Только в нашем случае дефект массы фотона при космологическом красном смещении.
  Итак, мы нашли мельчайшую частицу материи - фотоник. Таких частиц только с одного фотона видимого света за одну секунду излучается  [] штук. Эти частицы в огромных количествах движутся во всех направлениях Вселенной.
  Но это ещё не всё!
  Мы нашли эфирную частицу только от одного переносчика энергии. А их у нас два.
  Энергия от звёзд уносится как фотонами, так и нейтрино.
  При каждой реакции термоядерного синтеза излучается фотон и нейтрино строго определённых частот. Поэтому нейтрино во Вселенной рождается ровно столько же сколько и фотонов.
  С фотоном мы разобрались. Теперь надо разобраться с нейтрино. Природа спрятала от нас нейтрино. Открытие нейтрино приписывают Паули, который в 1931 году первым предположил его существование. В дальнейшем нейтрино было открыто через дефект массы.
  Но ведь дефект массы - это и есть доказательство существования данной частицы. Об этом в разделе 25. Никакие другие толкования не имеют места, так как всегда должен соблюдаться основной закон природы - закон сохранения массы и энергии (инерции). В нашем случае открытие фотоника произошло также через дефект массы только фотона.
  Фотон - это электромагнитное излучение.
  Нейтрино - это нейтральное излучение.
  Нейтральное излучение, также как и электромагнитное, имеет частотную шкалу от MAX до MIN значений.
  Нейтрино также как и фотон с каждым колебанием в полёте излучает частицу - нейтриник .
  Так как нейтральное излучение природа спрятала от нас, то пусть масса нейтриника условно будет аналогична массе фотоника. Это никак не повлияет на мою общую модель.
  Как определить размеры этих частиц? Пока автор не видит никаких намёков или подсказок природы. Вероятно, ответ на этот вопрос природа спрятала более глубоко.
  Значит, существует эфир. Ну, конечно, не тот эфир, который искали Майкельсон и Морли и который обладает эфирным ветром.
  Предлагаемая мною модель эфира имеет состав, структуру и кинематическое описание. Эта модель эфира объясняет все процессы и явления в их взаимосвязи на микро и макроуровне. Но у этой модели эфира не может быть эфирного ветра.
  ПРИМЕЧАНИЕ.
  Ещё можно сделать вывод, что нейтриники и фотоники в силу своей малости и нейтральности обладают очень большой проникающей способностью, которую ничем нельзя остановить. Экранировать силы гравитации никогда не удастся. Сразу можно сказать, что машин на основе антигравитации никогда не будет - это противоречит законам природы (физики).
  Если коротко про эфир, то здесь
  http://samlib.ru/n/nikolaew_s_a/korotkoobefire.shtml
  
  Используемые источники:
  1. Николаев С.А. 'Эволюционный круговорот материи во Вселенной'. 8-ое издание, СПб, 2015 г., 320 с.
  
  Все статьи ещё тут
  http://samlib.ru/n/nikolaew_s_a/
  Кроме того, все статьи в эл. виде для снятия копий размещаю в "Энциклопедическом фонде России".
  Вот авторский список статей и терминов
   http://www.russika.ru/a.php?a=529
  
  Доклад на Ютубе
  http://www.youtube.com/watch?v=eP1iYV96Sr8
  
  Если Вы поняли о существовании данной ошибки (а их в физике очень много), то сообщите об этой статье как можно большему числу людей. Только так Все смогут узнать, что творится с физикой и о том, что официальные дискуссии в России запрещены.

 Ваша оценка:

Связаться с программистом сайта.

Новые книги авторов СИ, вышедшие из печати:
О.Болдырева "Крадуш. Чужие души" М.Николаев "Вторжение на Землю"

Как попасть в этoт список

Кожевенное мастерство | Сайт "Художники" | Доска об'явлений "Книги"