Николаев Семен Александрович
Что такое утверждённая программа образования?

Самиздат: [Регистрация] [Найти] [Рейтинги] [Обсуждения] [Новинки] [Обзоры] [Помощь|Техвопросы]
Ссылки:
Школа кожевенного мастерства: сумки, ремни своими руками Типография Новый формат: Издать свою книгу
Оценка: 3.40*10  Ваша оценка:
  • Аннотация:
    Утверждённая программа образования - это изощрённая форма издевательства над населением планеты. Это станет Вам очевидным только тогда, когда Вы прочитаете книгу "Эволюционный круговорот материи во Вселенной". В этой книге разбираются ошибки в науке физике, которые оказались там не случайно. А теперь рассмотрим, как, каким образом и почему, эти ошибки там оказались?

  Доклад на Ютубе
  https://youtu.be/hy4WUVmoVOM
  
  Доклад на Ютубе
  http://www.youtube.com/watch?v=eP1iYV96Sr8
  
   []
  
  Утверждённая программа образования - это изощрённая форма издевательства над населением планеты. Это станет Вам очевидным только тогда, когда Вы прочитаете книгу "Эволюционный круговорот материи во Вселенной". В этой книге разбираются ошибки в науке физике, которые оказались там не случайно. А теперь рассмотрим, как, каким образом и почему, эти ошибки там оказались?
  
  Для чего и кому нужна наука физика? Вероятно, наука физика нужна всему человечеству. Однако не все так думали и продолжают думать. Давайте рассмотрим, как обстояли дела с физикой на протяжении её истории.
  Вы никогда не задумывались, почему до 1736 года физика писалась только на латыни? Ответ на этот вопрос очевиден. Чтобы максимально затруднить доступность к физике народа. Если быть конкретным, то наука физика уже давно находилась под контролем одной из влиятельных масонских лож, куда входили самые богатые. В начале 18 века руководство ложи решило, что дальше в таком положении науке физики продержаться не удастся. Учёных становится много, они не хотят вступать в масонскую ложу и подчиняться её уставу. И ещё учёные, видите ли, хотят, чтобы всё научное писалось на их родных языках. Мол, так им легче. Это не входило в планы ложи. Масоны не хотели, чтобы физика была доступна всем. Раз обстоятельства складываются таким образом, что на латыни физике больше не продержаться, то руководство ложи решило упредить всех. Оно поручило масону Эйлеру продумать и подготовить перевод физики на несколько основных европейских языков. Но перевод должен быть таким, чтобы основательно были запутаны все основы фундаментальной физики.
  В то время всё в физике, как и положено ей, объяснялось механикой. То есть механика была основой всей физики. Но моделей механик на тот момент уже было две. Одна - это модель Галилея-Ньютона, в основе которой была инерция (движение  []). Другая - это модель Гюйгенса, в основе которой была сила  []. Модель Галилея-Ньютона объяснялась определённой моделью эфира, а модель Гюйгенса ничем не объяснялась.
  Двух правильных моделей быть не может. Естественно, одна из них ошибочная.
  В 1736 году Эйлер (1707 - 1783 г.) опубликовал якобы "перевод" физики на европейские языки. Но назвал всё это "переводом" законов Ньютона. Что в результате этого "перевода" получилось? В этом надо начать разбираться и думать всем. Замести следы сложно. Сами посудите. В старых энциклопедиях написано, что силу ввёл в свою модель механики Гюйгенс. И что модели механик Гюйгенса и Ньютона были фундаментально противоположны. Совершенно очевидно, что Эйлер всё это сфальсифицировал. Разберитесь логично, как такое вдруг стало называться законами Ньютона. Почему Эйлер сделал всё именно так, а не иначе? Ньютон, как и все учёные того времени, был членом масонской ложи. Но он был честным и несговорчивым учёным. Имея высокое положение в научных кругах (Ньютон возглавлял Королевское общество), он вопреки уставу масонской ложи не запутывал физику. Зато его научный конкурент Гюйгенс очень успешно осуществлял указания руководства ложи по запутыванию физики. А Гюйгенсу было поручено создать новую модель механики в противовес механики Галилея-Ньютона. С этим он успешно справился. Заставить Ньютона выполнить указания руководства масонской ложи, было невозможно. Впоследствии в 1736 году масоны отомстят ему за несговорчивость. Масону Эйлеру было поручено запутать физику, а потом перевести это с латыни. В результате получилась неслыханная подлость. Эйлер взял механику Гюйгенса, состоящую из трёх законов, в основе которых была сила. Затем прибавил к этим трём законам закон всемирного тяготения, который открыл Ньютон. Естественно, в законе всемирного тяготения Эйлер инерцию заменил силой. Всё это он назвал законами Ньютона. В дальнейшем в 1960 году в итоге этой фальсификации единица измерения силы станет называться Ньютоном. Так как всё всегда было под контролем масонской ложи, то перевод Эйлера преподнесли как перевод с подлинника. Естественно нужный "подлинник" был изготовлен. Для масонов это не проблема. Теперь многие понимают, что всех надули и требуют нового правильного перевода с подлинника. Подумайте, с какого подлинника? Масоны всё, что посчитали "нужным" включили туда и изготовили подлинник, назвав его законами Ньютона. Ньютона нет и теперь спросить не у кого. О том, как и главное в какой последовательности всё это происходило, очень подробно написано в следующем разделе. Об этом здесь
  http://samlib.ru/n/nikolaew_s_a/istorijadwuhmodelejmehaniki.shtml
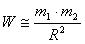
   ПРИМЕЧАНИЕ. Оказывается, гравитация была описана ещё во времена Ньютона. В 1690 году швейцарский учёный Николас Фатио из Женевы предложил теорию, которая объясняла гравитационное взаимодействие, описанное Ньютоном
    [], где W - инерция, передаваемая эфирными частицами каждому телу с внешних сторон,
  m1 и m2 - массы тел, R - расстояние между телами.
  Объяснение было очень простым и материалистичным. Эфирные частицы летят во всех направлениях Вселенной и передают свою инерцию, приталкивая тела, друг к другу. Всё объяснялось механикой. Всё простое и объяснимое, в конце концов, побеждает. Так было и с открытием Коперника. Но не тут-то было. На этот раз руководство масонской ложи во время углядело опасность в таком открытии. Это не входило в планы масонов. Труды Фатио остались не напечатанными.
  Спустя более полувека в 1748 или в 1756 году бумаги с работой Фатио находит другой швейцарский учёный тоже уроженец Женевы Ле Саж. Но ситуация не изменилась. Данная теория находилась под негласным, как и всё, связанное с масонской ложей, запретом. Ле Саж также не смог опубликовать эту теорию. Когда умудрились опубликовать о том, что такая теория существовала, разобраться теперь трудно. Одни уверяют, что в начале 20 века, другие, что в конце 19 века. Вероятно, в конце 19 века, так как пишут, что сам Максвелл опровергал эту теорию. Точно нам уже об этом не узнать. Скрыть о том, что такая теория была и что её не печатали, трудно и поэтому об этом упоминают, но под своим соусом. Об этом написано даже в ВИКИПЕДИИ.
  Итак, первый акт запутывания физики состоялся. Но так как многие учёные были не согласны с таким жульничеством и на протяжении длительного времени не принимали такого лжеперевода, то в начале 20 века поручили члену масонской ложи Крылову "провести" экспертизу перевода Эйлера. Что он охотно "выполнил". Впоследствии это было утверждено программой образования и стало обязательным для всех.
  Теперь про второй акт запутывания физики. Вы догадались, что происходило в науке. Одни искали, думали, делали открытия. Другие думали, как бы всё это запутать. И придумали. Физику решили подменить как можно сложнейшей математикой. Этим занялся сам Максвелл, будучи в то время руководителем масонской ложи. Если Эйлер взял просто и подсунул, в качестве перевода, ошибочную механику Гюйгенса, назвав её при этом законами Ньютона, то Максвелл вообще встал на путь придумывания теорий и формул. Впервые после заявления Галилея о том, что отныне всё будет основываться на экспериментах, Максвелл похоронил такой принцип. В 1864 году Максвелл объявил, что придумал "гениальную" формулу  []. Через эту "гениальную" формулу он "вывел" коэффициенты к формулам Кулона и Ампера. Затем он придумал четыре уравнения, которые якобы описывают экспериментально не существующее электромагнитное поле. Так появились в физике фальшивые уравнения и коэффициенты Максвелла и многое другое, конечно, всё ошибочное. Наступило время придумывания и описание придуманного математически, но чтобы было как можно сложнее. Почему сложнее? Потому, чтобы только самые "умные" могли это выучить. Потом в 20 веке для окончательного одурачивания придумают ещё одну дополнительную физику, назвав её "квантовой механикой" со сложным математическим аппаратом.
  На рубеже 19 и 20 веков физику опять ждали потрясения и третий акт её запутывания. Тесла пугнул масонов, что откроет эфир и всё человечество получит бесплатную энергию в любой точке поверхности Земли. А самые богатые (это члены масонской ложи) станут при этом как все. Ну, конечно, они хотели быть не как все, а самыми богатыми. Все учёные того времени строили модели процессов, исходя из модели вечно бегущего эфира, который был описан Аристотелем, Ньютоном, Фатио (Ле Сажем). Но задача масонской ложи была не допустить продвижение науки в правильном направлении. И они приложили все усилия и деньги для того, чтобы физика обошлась бы без объяснения данной моделью эфира. В этой ситуации все самые богатые скинулись сотнями миллиардов долларов на то, чтобы наука как-нибудь обошлась без этого проклятого эфира, чтобы слово эфир было запрещено, его презирали, а лучше вообще не вспоминали.
  Начался третий этап в истории физики - борьба с эфиром.
  И деньги начали работать - это учёные, которые согласились выполнить поставленную задачу. Во-первых, собрали всё, что не требует объяснения эфиром. Это модель механики Гюйгенса. Но её назвали механикой Ньютона. Электродинамику заменили "трудами" Максвелла. Запутывать, так запутывать. Далее по принципу указанному Максвеллом были придуманы математические теории Эйнштейна, состряпанные специально в противовес эфирной теории. Вместо экспериментов стали применять постулаты, не требующие ни экспериментов, ни доказательств. Например, фотон - это волна, а волна не обладает массой. Или скорость света постоянная, то есть не зависит от скорости источника и скорости приёмника света. Это их основные элементы одурачивания. Никто не задумывается, что эти постулаты противоречат основным законам природы: закону сохранения массы и энергии и принципу векторного сложения скоростей для тел и частиц. Но задумываться нельзя, так как всё это теперь утверждено программой образования и стало обязательным для всех. Логично было бы на основании основных законов природы строить теории, а не наоборот. Но наука логика была уже запрещена. А куда смотрели честные учёные? Они к тому времени уже ничего сделать не могли. Все научные журналы и руководства Национальных Академий Наук, в том числе и Нобелевский Комитет по физике, были взяты под контроль самыми богатыми людьми планеты. Потом именами настоящих учёных будут прикрываться, как будто это они стояли у истоков открытия теорий Эйнштейна. Однако так как пресса была под контролем самых богатых людей планеты, то голосов Н.Бора, М.Планка, Резерфорда и многих других уже не было слышно. Но они были противниками и не пошли на сделку со своей совестью.
  Где-то в начале 20 века всё, собранное в противовес эфиру, а также всё, что можно было запутать, утвердили программой образования.
   Вот один пример. Больцман, не понимая причин подвижности атомов и молекул газа, без эксперимента методом статистической физики, "создаёт" ошибочную молекулярно-кинетическую теорию. В те времена никто из учёных её не поддержал. Все были против. Не выдержав этого, Больцман застрелился. Однако спустя несколько лет при составлении утверждённой программы образования молекулярно-кинетическую теорию Больцмана туда засунули, и она на протяжении более столетия стала обязательной для всех.
  Образовательная система (коснусь только физики) построена на принципе утверждённой программы. Утверждённая программа - это своего рода "ученье", которое незыблемо, то есть носит черты догматического ученья. Принцип: выучил, ответил, получил оценку. Думать в таком процессе запрещено. Вас всегда спрашивают только, что Вы выучили, но никогда не спрашивают, что Вы думаете о прочитанном. Тогда происходит следующее. Великий физиолог Иван Петрович Павлов (1849-1936 г.) предупреждал, если каким-то органом или его функцией долго не пользоваться (долго не думать), то этот орган за ненадобностью отомрёт. Из поколения в поколение (поколение приблизительно 20 лет) это передаётся и закрепляется на генном уровне. Почти все разучились думать. Если забыл, то надо снова это же выучить. Многие думают, что они думают, а они вспоминают "ученье". Вы не догадываетесь, чем это может закончиться? И никто не задумывается над тем, что это является изощрённой формой издевательства над населением планеты.
  Вы, что думаете, если не будете придерживаться теорий Эйнштейна, Вам дадут защитить кандидатскую или докторскую по физике и стать профессором или академиком. Ничего подобного. А, если кто-нибудь в школе или в институте скажет, что теории Эйнштейна глупость и "Большого Взрыва" не было, то его отчислят, как не понимающего "современной" физики. А тем более преподавателя.
  Вот Вам про образование. Что представляет собой система образования в настоящее время? Принцип, заложенный в систему образования, - это заучивание того, что написано в учебниках, но не думать о том, правильно это или ошибочно.
  Хороша такая система или нет? Приведу пример. Выводят собаку на арену цирка. Показывают ей, например, цифру два и собака тявкает два раза, а за это получает вознаграждение - кусочек сыра. Затем показывают цифру пять, и собака тявкает пять раз и опять вознаграждение. Как Вы думаете, собака думает?
  Наше образование построено по такому же принципу. Выучил, ответил, получил вознаграждение - оценку (кусочек сыра). Что Вы думаете о выученном? Вас не спрашивают. Думать в данном процессе запрещено. Организаторам процесса образования это не нужно. Науку в системе образования утвердили программой. На самом деле науку превратили в догму.
  А почему в утверждённую программу образования не включена наука логика. Логика - это наука о том, как надо думать. Однако в данной системе образования думать запрещено. Можно только читать и запоминать то, что написано в учебниках и утверждено программой образования. Если кто-нибудь забыл, то он обязан снова заглянуть в учебник и выучить. Поэтому в данную систему образования наука логика не вписывается.
  Насколько важна формальная логика. Формальная логика - это цемент, скрепляющий все остальные знания. Логика на самом деле "учит учиться".
  Тогда почему логику, несмотря на всю её феноменальную полезность, не преподают во всех школах и ВУЗах.
  На этот вопрос существует логичный ответ. Логику не преподают по тем же причинам, по которым рабам нельзя владеть огнестрельным оружием. Опасно.
  Ведь на чём строится вся идеология современной школы? На авторитете. Детей учат не доказывать свои утверждения, а "обосновывать" их как на зоне.
  Получается два конкурирующих метода аргументации. Первый через логику. Второй через авторитет (написано в учебнике или так сказал учитель).
  С точки зрения логики доказательство через авторитет - это логическая ошибка. Вот как это выглядит в жизни. "Да ты кто такой, чтобы спорить со мной, кандидатом наук!" Для современной науки это вариант нормы.
  Даже, если учитель захочет, чтобы его ученики логически думали, ему этого не сделать. Например, в физике так много нелогичного, непоследовательного, запутанного и ошибочного. И всё это утверждено программой образования. Ученик обязан это выучить, ответить и получить оценку. Думать в таком процессе запрещено. Какая уж тут индивидуальность. А роль учителя сводится лишь к тому, чтобы всё, что утверждено программой образования, ученики хорошо вызубрили. А на экзамене ЕГЭ это будет проверено.
  Люди в массе своей перестали доказывать, просто потому, что последовательно мыслить уже не умели. Да и потребности в этом давно уже не было. Всё было утверждено программой образования. Если забыл выученное, то необходимо снова взять учебник и выучить.
  Такая ситуация в образовании возникла как минимум с начала 20 века. Результат - почти все разучились думать. Большинство думает, что они думают. Некоторые думают, что, отдав в престижную частную школу или ВУЗ своего ребёнка, который хочет изучать физику, они избегут негатива. Ничего подобного. Учебники с ошибками остались те же самые, утверждённые программой образования. И ничего нового при их изучении это не даст. Подумайте, над, чем он будет думать?
  Мною написана книга "Эволюционный круговорот материи во Вселенной" с новой теорией, которая объясняет все процессы в природе. Эта книга может помочь начать думать. Там вскрыты основные ошибки физики, которые там оказались, к сожалению, не случайно. При сравнении нового объяснения со старым придётся начать думать, где последовательно и логично, а где нет. Данная книга станет индикатором правильности в изучении, как физики, так и других наук. Если человек отвергает основы физики, заявляя, что он гуманитарий, то этот человек уже настолько разучился думать, что понять простейшие процессы он просто не может. Ведь там надо думать. А думать уже не хочется. Правда, ведь легче читать, чем читать и обдумывать. Не скатывайтесь до такого состояния. Основы физики должен знать каждый.
  Отсутствие логики в числе школьных предметов - как нельзя более выпукло показывает, что обучение в современной школе - это скорее дорогостоящая клоунада, чем получение знаний.
  Что же сейчас открывают учёные в части фундаментальной физики? А что они могут открыть, если всё открываемое должно находиться в рамках так называемой стандартной модели (это теории Эйнштейна и теория "Большого Взрыва", а всё остальное лженаука). Вся фундаментальная физика движется в неправильном направлении и несёт в себе простой обман. Например, последняя элементарная частица была открыта Андерсоном в 1932 году. Это был позитрон. Все остальные частицы из ускорительной физики - это математические модели, взятые с "потолка". Они получаются при математической обработке треков частиц корреляционной функцией. Какие частицы сталкиваются между собой, никто не знает. Трек, какой частицы взят за основу? Этого тоже никто не знает. Ускорительная физика это дорогостоящий обман. А протон с протоном столкнуться не может. Большинство Нобелевских премий выдано за ошибочные математические модели: кварковая модель зарядов, модель антипротона, модель бозона Хиггса и так далее.
  Что сейчас финансирует масонская мафия? Всё, что связано с запутыванием физики и одурачиванием людей. Именно, одурачиванием. Если, например, преднамеренный обман происходит в финансовой деятельности, то это так и будет называться преднамеренный обман. Если преднамеренный обман происходит в научной деятельности, то более точным выражением будет одурачивание. В результате такого научного обмана Вы неправильно понимаете процессы, происходящие в природе.
  Интересная складывается ситуация - уму непостижимая. Одурачивание населения планеты мафия умудрилась переложить на плечи самого населения через Национальные Академии Наук и утверждённую программу образования. Деньги на это берутся из бюджетов стран. Одурачивание населения планеты происходит для мафии бесплатно. За них это выполняют сами одурачиваемые. И все довольны: и Академии Наук, и народы, и мафия. Вот чем масонская мафия занята сейчас.
  Вливание громадных средств в деятельность, связанную с адронным коллайдером. Якобы "открытие" математической модели бозона Хиггса подтвердит правильность математической модели стандартной теории (понимай, как теорий Эйнштейна и теории "Большого Взрыва").
  Вливание громадных средств в съёмку документальных фильмов, для поддержки теорий Эйнштейна и теории "Большого Взрыва". Фильмы поручено снимать только БИ-БИ-СИ.
  Вливание громадных средств в печатание книг Хокинга для полуграмотного населения, посвящённых исключительно в защиту теории "Большого Взрыва".
  Вливание громадных средств в электронную энциклопедию ВИКИПЕДИЮ. Согласно этой энциклопедии фотоэффект открыл Эйнштейн. Он же открыл и электромагнитный эффект определения скорости объектов по разности частот. Как будто учёных Герца и Физо не существовало. Так масоны заботятся о будущем. Когда в будущем будут пользоваться только электронной энциклопедией, то забудут про открытия Герца и Физо. Уже сейчас почти никто не знает, что Физо открыл электромагнитный эффект определения скорости объектов по разности частот. Всех заставляют называть его акустическим эффектом Доплера.
  Настал момент, когда надо сделать вывод, ответив на поставленный вопрос: Почему одни учёные делают открытия и двигают науку вперёд, а другие стараются науку запутать?
  Оказывается весь вопрос в деньгах, в богатстве. Интересы самых богатых не совпадают с интересами всех остальных. Большие деньги могут всё. За большие деньги нанимают учёных, которые с радостью запутывают физику. Сначала 20 века утверждают программу образования и заставляют всех заучивать её. А, как же народ? А большинство народа, одураченное заученным ученьем, радуется открытию бозона Хиггса. Им даже невдомёк, что их нагло заставляют электромагнитный эффект Физо называть акустическим эффектом Доплера.
  Итак, как оказалось, вся фундаментальная физика специально запутана. Чтобы привести этому обоснования, и они оказались наиболее последовательны для понимания общей картины запутанного, перечислю эту последовательность.
  1. Ошибочна механика. Сила Гюйгенса - это ошибочные представления в механике. (Вы увидите этому экспериментальное подтверждение в эффекте Физо на стр. 55).
  2. Ошибки, введённые в физику феноменом Эйнштейна, в виде фальшивых постулатов и фальшивых математических теорий, а также пренебрежение классической механикой.
  Что натворил Эйнштейн своими постулатами и теориями?
   Во-первых, он запостулировал, что фотон безмассовая частица, то есть к ней не применимы законы классической механики. Этим он нарушил основной закон природы - закон сохранения массы и энергии, по которой энергия без массы не существует.
   Во-вторых, закрепил постулатом постоянство скорости света. То есть скорость света не зависит от скоростей источника и приёмника света. Этим он нарушил один из основных законов природы - принцип суперпозиции (принцип векторного сложения скоростей для тел и частиц).
  Рассмотрение в первую очередь этих вопросов поможет нам выявить ту основную ошибку, которая была специально заложена при создании теории "Большого Взрыва". Исправив эту ошибку, окажется, что Вселенная не расширяется, что существует конкретная модель эфира, которая объясняет все процессы в природе.
  
  Если Вы поняли о существовании данной ошибки (а их в физике очень много), то сообщите об этой статье как можно большему числу людей. Только так все смогут узнать, что творится с физикой и о том, что официальные дискуссии в России запрещены.
  
  Документы по борьбе с инакомыслием в науке.
  1. Постановление ЦК ВКП(б) от 25.01.1931г. Запрещение рассмотрения проблем физических взаимодействий на механической, материалистической основе.
  2. Специальное постановление ЦК ВКП(б) от 1934г. О дискуссии о релятивизме. Жертвами этого постановления стали Н.А.Козырев и Н.П.Бронштейн.
  3. Постановление ЦК ВКП(б) от 05.12.1942г.
  4. Постановление Президиума АН от 1964г. В этом постановлении предписывалось объявлять параноиками всех, кто критикует теории относительности Эйнштейна. Сразу было выявлено 24 параноика среди учёных.
  5. Постановление Президиума РАН от 1998г. О создании комиссии по борьбе с лженаукой и фальсификации научных исследований во главе с академиком Э.П.Кругляковым. Комиссия исправно функционирует. Комиссия не скрывает, что следует принципу: "Всё, что противоречит теориям Эйнштейна и теории "Большого Взрыва", является лженаукой".
  
  Главные идеологи этого мракобесия С.И.Вавилов, А.Ф.Иоффе, В.Л.Гинзбург.
  
  Используемые источники
  1. Николаев С.А. "Эволюционный круговорот материи во Вселенной", 7-ое издание, СПб, 2014 г., 320 с.
  2.Николаев С.А. "Ложь об электромагнитной волне и о шкале электромагнитных излучений", СПб, 2014 г., 32 с.
  3.Энциклопедии.
  
  Все статьи ещё тут
  http://samlib.ru/n/nikolaew_s_a/
  
  Кроме того, все статьи в эл. виде для снятия копий размещаю в "Энциклопедическом фонде России".
  Вот авторский список статей и терминов
  http://www.russika.ru/a.php?a=529

Оценка: 3.40*10  Ваша оценка:

Связаться с программистом сайта.

Новые книги авторов СИ, вышедшие из печати:
О.Болдырева "Крадуш. Чужие души" М.Николаев "Вторжение на Землю"

Как попасть в этoт список

Кожевенное мастерство | Сайт "Художники" | Доска об'явлений "Книги"