Дорошев Василий Петрович
Движущееся зеркало

Самиздат: [Регистрация] [Найти] [Рейтинги] [Обсуждения] [Новинки] [Обзоры] [Помощь|Техвопросы]
Ссылки:
Школа кожевенного мастерства: сумки, ремни своими руками Типография Новый формат: Издать свою книгу
 Ваша оценка:

               Дорошев В.П.

Движущееся зеркало

    Известно, что Земля вместе с солнечной системой движется относительно микроволнового реликтового фона с постоянной скоростью V ≈ 400 км/сек.
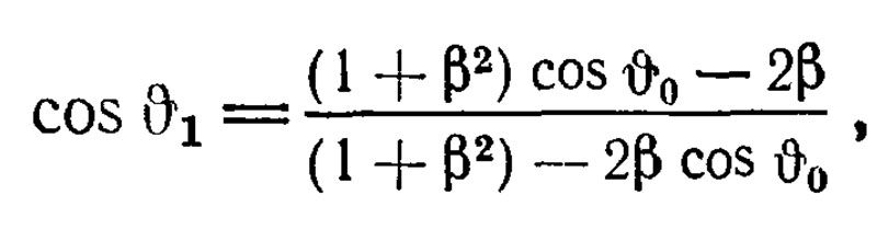
     Вместе с Землёй с такой же скоростью двигаются и все зеркала, находящиеся на ней. При этом вполне возможно, что некоторое зеркало на Земле может двигаться навстречу падающему на него лучу света k0. Угол отраженного θ1 луча k1, при этом, может быть не равен углу падающего θ0 луча k0 (Рис.1).

 []

Рис.1.К расчету угла отражения

    Соотношения углов подающего и отраженного от двигающегося зеркала монохроматических лучей определяются выражением [1]

 [](1)

где, β = V/C , C - скорость света в вакууме.
    Если в (1) подставить θ0 = 900 и β = V/C = 400/300000 = 1,33*10-3, то угол отражения составит θ1 = arccos(0,00266)=89,8470.
    Полученный угол отражения, отличается от такого же угла для неподвижного зеркала на 0,150, что вполне достаточно для уверенного его обнаружения в опыте.
    Для проверки приведенного расчета проведем измерение угла отражения на установке (Рис.2, Фото1),

 []

Рис.2.Схема опыта
содержащей поворачиваемый стол (С), лазерный источник падающего луча света (И), зеркало (З) и мишень (М).

 []

Фото 1. Мишень слева за кадром

    В одном из положений установки в пространстве скорость зеркала относительно падающего луча (волны света) составит V, а при повороте на 1800 эта скорость приобретает противоположное направление, так что изменение угла отражения будет определяться изменением скорости 2V.
    Поскольку угол падения 900 экспериментально реализовать невозможно, то зададим угол падения θ0 = 750. В этом случае угол отражения, найденный по (1), составит θ1 = 75,1470, что на 0,1470 отличается от угла отражения неподвижного зеркала.
    При расстоянии от зеркала до мишени L = 2м смещение пятна луча лазера составит около 12 миллиметров (при диаметре пятна около 4 миллиметров). Наблюдение за углом отражения луча на вращающемся столе показало, что никакого отклонения отраженного луча в зависимости от ориентации зеркала вообще нет. Собственно таких отклонений не было отмечено и ранее во всех известных опытах по проверке законов геометрической оптики.
    Это может означать только то, что скорость фронта световой волны складывается векторно со скоростью источника света и остаётся равной С. И, поскольку, источник, зеркало и мишень находятся в одной системе отсчёта, то отклонение от значения, предписанного законами оптики, не происходит.
    1. Б. М. Болотовский, С. Н. Столяров Отражение света от движущегося зеркала и родственные задачи. УФН, том 159, вып.1, Сент. 1989г. http://ufn.ru/ufn89/ufn89_9/Russian/r899f.pdf

 


 Ваша оценка:

Связаться с программистом сайта.

Новые книги авторов СИ, вышедшие из печати:
О.Болдырева "Крадуш. Чужие души" М.Николаев "Вторжение на Землю"

Как попасть в этoт список

Кожевенное мастерство | Сайт "Художники" | Доска об'явлений "Книги"