Белов Андрей Михайлович
О последовательно-параллельных вселенных (мирах)

Самиздат: [Регистрация] [Найти] [Рейтинги] [Обсуждения] [Новинки] [Обзоры] [Помощь|Техвопросы]
Ссылки:
Школа кожевенного мастерства: сумки, ремни своими руками Типография Новый формат: Издать свою книгу
 Ваша оценка:
  • Аннотация:
    О многомерности пространства, физическом вакууме,непознанном, НЛО

О ПОСЛЕДОВАТЕЛЬНО - ПАРАЛЛЕЛЬНЫХ ВСЕЛЕННЫХ (МИРАХ)

МНОГОМЕРНОСТИ ПРОСТРАНСТВА, СУПЕРСТРУНАХ, ФИЗИЧЕСКОМ ВАКУУМЕ, ВИРТУАЛЬНЫХ ЧАСТИЦАХ, СИНГУЛЯРНОСТИ, БОЛЬШОМ ВЗРЫВЕ, ТЕМНОЙ ЭНЕРГИИ, НЕПОЗНАНОМ И НЛО


А. М. Белов

 

            Существуют ли параллельные миры или, как их еще называют, параллельные пространства и если да, то где их искать? Сколько существует вселенных? Возможен ли переход материального объекта в параллельное пространство или иную вселенную? Одинаковые или разные значения имеют фундаментальные константы (скорость света, постоянная Планка, заряд и масса электрона и другие) в разных параллельных мирах (вселенных)? Эти вопросы уже сравнительно давно активно обсуждаются.

            Сторонниками существования параллельных миров обычно высказывается предположение, что наблюдаемое нами пространство многомерно, т. е. имеет количество измерений (размерность) превышающее три. И, вот в этих-то дополнительных, не замечаемых нами, измерениях и спрятаны параллельные миры. В настоящее время из всех теорий, предусматривающих многомерность нашего пространства, наиболее популярна теория суперструн.

            В квантовой механике пространство рассматривается просто, как некое неподвижное, пассивное, характеризующееся измерениями (размерностями) место, в котором существуют или не существуют фундаментальные частицы. Исходя из этого, вообще-то все измерения (размерности) нашего пространства должны быть взаимосвязаны, и относиться ко всему пространству. Однако теории, предполагающие многомерность нашего пространства утверждают, что дополнительные четвертое, пятое, шестое и так далее измерения относятся вовсе не ко всему пространству и не взаимосвязаны. Они яко бы находятся в сверхмалых объемах, кольцах с размерами порядка нанометра (одна миллиардная метра) или черных дырах, сжимающихся в сингулярности, которые взрываются в другом пространстве и не взаимодействуют с нашей Вселенной, как в известной теории профессора Пенсильванского университета Ли Смолина и т. п. Такое расположение дополнительных измерений приведет к тому что, мы, по крайней мере не всегда, сможем определить местонахождение объекта, однозначно находящегося в нашем пространстве, относительно четвертого, пятого и т. д. измерения. Очевидно, что при таких условиях нельзя говорить, что наше пространство имеет число измерений (размерностей) превышающее три, а можно вести речь лишь о том, что возможно, в нашем пространстве имеются объемы, пусть даже и очень маленькие, в которых фундаментальные частицы обладают иными свойствами, чем в остальных частях пространства. Причем эти объемы, пусть и со странными свойствами, все равно будут являться частью нашего трехмерного пространства, и их местонахождение будет однозначно определено относительно известных его трех пространственных измерений.

            Если параллельные миры не могут спрятаться в дополнительных измерениях, которые и сами то могут вовсе не существовать (по крайней мере, доказать, как факт их существования, так и факт их отсутствия весьма затруднительно), то тогда где же искать параллельные миры? А, что если предположить, что все параллельные миры существуют в нашем привычном трехмерном пространстве, но только в различное время?

            Здесь под существованием в разное время понимается последовательное периодическое возникновение и исчезновение видимых (воспринимаемых нами) вселенных в нашем едином пространстве таким образом, что пока существует одна вселенная, все остальные не существуют. При этом придется допустить, что для всех вселенных (миров) пространство одно и едино и никаких дополнительных, иных, параллельных пространств не существует.

            Возникновение Вселенной происходит при переходе в возбужденное состояние части физического вакуума, находящегося в нашем пространстве, а исчезновение Вселенной соответственно при переходе той же части физического вакуума в невозбужденное состояние. В пользу того, что в физическом вакууме в принципе могут происходить подобные процессы, свидетельствуют, так называемые, виртуальные частицы, которые могут на короткое время возникнуть в любой точке - флуктуации вакуума (нулевые колебания вакуума). Нулевые колебания заставляют "дрожать" электрон, движущийся в атоме, - он как бы превращается в шарик с радиусом, равным амплитуде дрожания. Этот эффект впервые обнаружили в 1947 году американские ученые У. Лэмб и Р. Ризерфорд.

            Таким образом, если существуют колебания физического вакуума в виде периодического возникновения и исчезновения виртуальных частиц, то можно предположить, что и возникшая, в соответствии с теорией Большого взрыва, в результате появления в первичном вакууме нашего пространства сингулярности с последующим ее взрывом, Вселенная так же может существовать в пульсирующем режиме. Во всяком случае, такое поведение Вселенной вроде бы не противоречит ни каким известным законам природы.

            Исходя из выше изложенного, можно прийти к выводу, что для того, чтобы существовали параллельные миры (вселенные) в нашем пространстве должно было возникнуть несколько сингулярностей (как минимум две - наша и еще одна), которые последовательно взорвались в новые вселенные, что и привело к возникновению в физическом вакууме устойчивых колебаний - периодического последовательного порождения и исчезновения вселенных. Такое существование вселенных в нашем пространстве так же предполагает сохранение информации в физическом вакууме о предыдущем их существовании (периоде колебания) и возникновении в очередной раз вселенной в том же состоянии, в каком она исчезла.

            Такие вселенные правильнее называть не просто параллельными, а последовательно - параллельными вселенными (мирами), так как физически они существуют в нашем пространстве последовательно (поочередно) - сначала возникает, по всей видимости, очень не на продолжительное время одна, затем вторая и т. д. бесконечно по кругу. Для наблюдателя, являющегося частью одной из вселенных, будет казаться, что его вселенная существует во времени непрерывно, и он никак не сможет заметить ее периодических исчезновений, как равно и периодического появления иных вселенных.

            Принципиально существование чего-то подобного допускалось уже давно. Например, теория гравитации Эйнштейна предрекает существование своего рода прорех в пространстве-времени, которые должны возникать и исчезать настолько быстро, что обнаружить их оказывается невозможным.

            Приведенные ниже анимации позволяют хоть в какой-то мере представить пространство, в котором существуют две последовательно - параллельные вселенные.

  

 []   []   []

  

            На первых двух анимациях показаны объекты, принадлежащие разным вселенным в том виде, как эти объекты видели бы наблюдатели, принадлежащие каждый своей вселенной (Наблюдатели, существующие вместе со своими вселенными). На третьей анимации показаны те же объекты, но наблюдаемые наблюдателем, существующим независимо от наших двух последовательно - параллельных вселенных, т. е. не принадлежащим ни одной из них и соответственно не исчезающим периодически вместе с ними.

            Мы, являясь частью одной из вселенных, непосредственно не можем наблюдать их смену, примерно показанную на третьей анимации, но мы можем судить о возможности существования в нашем пространстве нескольких последовательно - параллельных вселенных по косвенным признакам.

            К такого рода признакам, прежде всего, относится буквально тотальная дискретность и конечность, как всех материальных объектов нашей Вселенной, так и самой Вселенной в целом. Вселенная хоть и огромна, но все же конечна - по последним оценкам ее диаметр составляет около 156 миллиардов световых лет. Дискретность и конечность Вселенной является необходимым условием самой возможности ее существования в пульсирующем режиме, так как непрерывные бесконечные объекты в принципе не смогут периодически исчезать и появляться из физического вакуума.

            Другим признаком существования последовательно - параллельных вселенных может являться полное отсутствие в некоторых объемах нашей Вселенной видимого (наблюдаемого нами) вещества. Причем эти объемы должны быть достаточно большими для того, что бы их наличие нельзя было бы объяснить местными неоднородностями распределения вещества во Вселенной. И, ведь, в нашей Вселенной объемы пространства с подобными свойствами действительно существуют. Например, к таким объемам пространства может быть отнесен участок неба, получивший наименование "холодное пятно WMAP" - WMAP Cold Spot, располагающееся в созвездии Эридана на расстоянии 6-10 миллиардов световых лет от нас. Внутри WMAP Cold Spot не нашли вообще ничего - ни галактик, ни газа, ни даже темной материи (темная материя состоит из частиц тяжелее протона, невидима для нас и, о ее присутствии можно судить лишь по гравитационному воздействию). Причем, размеры этой абсолютно пустой полости в нашей Вселенной действительно впечатляют, ее примерный диаметр оценивается в миллиард световых лет. Для сравнения, наша галактика, которая классифицируется, как гигантская имеет размер всего в сто тысяч световых лет, а диаметр всей нашей Вселенной оценивается в 156 миллиардов световых лет.

            Как могла образоваться в нашей Вселенной эта пустая полость WMAP Cold Spot? В настоящее время астрономами высказывается предположение, что это темная энергия (понятие введено в 90-е годы прошлого века космологами, как некой антигравитационной силы расталкивающей материю для объяснения эффекта ускорения разбегания), сосредоточенная в WMAP Cold Spot способствует удалению из этой области всего вещества. Вот только где это удаленное из WMAP Cold Spot вещество теперь находится? Почему мы не наблюдаем аномального повышения плотности вещества в близи границ области WMAP Cold Spot и почему темная энергия не удаляет вещество из других областей нашей Вселенной? А, ведь, если исходить из того, что наша Вселенная существует в пульсирующем режиме, то существование области WMAP Cold Spot можно объяснить тем, что по каким то причинам в процессе периодического возникновения из физического вакуума нашей Вселенной, часть физического вакуума, находящегося в области WMAP Cold Spot, в возбужденное состояние не переходит и, соответственно, в этой области пространства не будет периодически появляться часть нашей Вселенной. При этом в иных частях нашей Вселенной больше наблюдаемого нами вещества появляться так же не будет.

            Кроме того, что в области WMAP Cold Spot совсем ничего не находится в ней еще и заметно ослаблено микроволновое излучение, что объясняется потерей фотонами микроволнового фона энергии из-за их взаимодействия с темной энергией. А, вот темной энергии в области WMAP Cold Spot оказалось больше чем в других областях Вселенной, по всей видимости, именно потому, что физический вакуум, находящийся в области WMAP Cold Spot, в возбужденное состояние не переходит и, соответственно, периодически не появляется значительная часть нашей Вселенной, как материальный объект, вбирающий в себя часть темной энергии. К стати о том, что отталкивающая форма гравитации действует именно из пустого пространства, предполагал еще Эйнштейн. По современным же представлениям пустое пространство вовсе не является абсолютной пустотой - физический вакуум представляет одну из форм материи и рассматривается, как невозбужденное состояние некой полевой ("особой") материи.

            По последним данным получается, что обычная материя и темная энергия имеют сопоставимую плотность. Это при том, что плотность обычной (наблюдаемой нами) материи постоянно и сильно уменьшалась, начиная с Большого взрыва и до наших дней.

            Однако в этом обстоятельстве нет ничего не обычного, если мы допускаем существование последовательно - параллельных вселенных. Так как, в этом случае, вся "особая" материя физического вакуума будет периодически переходить в возбужденное состояния, образуя на непродолжительное время различные вселенные. В этих вселенных материя будет расширяться так же, как и в нашей Вселенной и, соответственно, при переходе материи обратно в невозбужденное состояние, т. е. в вакуум, плотность "особой" материи вакуума будет так же уменьшаться.

            Исходя из того, что темная энергия предположительно составляет 75 процентов нашей Вселенной и в силу симметрии физических структур можно предположить, что всего в нашем пространстве существует четыре последовательно - параллельных, примерно равных друг другу вселенных. Кроме этого, если предположить, что эти четыре вселенные поочередно возникают из физического вакуума на равные промежутки времени (с очень большой вероятностью следует ожидать именно этого), то возраст нашей Вселенной будет составлять не 14,7 миллиарда лет, а в четыре раза большую величину, т. е. 58,8 миллиарда лет. Это конечно не по времени нашей Вселенной, а по абсолютному времени нашего пространства с момента Большого взрыва.

            Очень важным обстоятельством свидетельствующем в пользу принципиальной возможности существования последовательно - параллельных вселенных является, то, что пространство с последовательно - параллельными вселенными может быть описано чисто математически. Действительно на сегодняшний день хотя бы теоретически возможно получение чисто математического описания дискретного объекта любой сложности. О том, что все в нашей Вселенной должно быть дискретным для ее возможности существования в пульсирующем режиме говорилось выше. О математических проблемах описания дискретных объектов читайте в статье "К вопросу детального математического описания уравнениями дискретных объектов и процессов" http://stob2.narod.ru/20s.htm

            Поскольку мы не замечаем пульсаций нашей Вселенной, то эти пульсации, скорее всего, происходят так же, как периодические колебания идеальных прямоугольных импульсов, т. е. без каких либо переходных процессов. Идеальные прямоугольные импульсы в настоящее время мы так же можем описать чисто математически (см. статью: "Периодические импульсные функции на основе универсального уравнения" http://stob2.narod.ru/16s.htm). Здесь имеется в виду не приближенное описание, а именно точное чисто математическое описание.

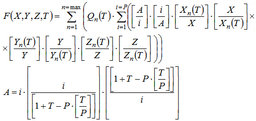
            Уравнение, описывающее пространство, содержащее последовательно - параллельные вселенные может быть представлено в следующем виде:

  

 []

  

            где Р - количество состояний (вселенных) пространства; Qn(T) - функция, определяющая состояние n-ой точки пространства в момент времени T; Xn(T); Yn(T); Zn(T) - функции, определяющие координаты n-ой точки пространства в момент времени T.

            Это уравнение соответствует приведенному ниже графику для случая наличия в пространстве четырех вселенных (состояний пространства).

  

 []

  

            Для того чтобы стало вообще возможным представить график уравнения в виде плоского изображения трехмерное пространство было заменено на двухмерное. Каждая вселенная содержала лишь одну неизменную и неперемещаемую в пространстве точку, соответственно желтого, синего, зеленого и красного цвета. Как видно на графике каждая точка периодически появляется строго только в свой период времени.

            Кроме приведенных признаков существования в нашем пространстве последовательно - параллельных вселенных существуют еще определенные и очень интересные признаки среди, так называемых, необъяснимых явлений не признаваемых или традиционно не комментируемых (не подтверждаемых, но и не опровергаемых) традиционной официальной наукой. Среди такого рода признаков для целей настоящей статьи особенно интересны сведения о необъяснимых исчезновениях и появлениях людей или материальных объектов. В нашей стране наибольшую известность получил случай с исчезновением на 50 лет целого отряда конницы крымских татар в Коломенском в Голосовом овраге. Причем отряд появился спустя 50 лет в том же виде, в каком исчез. Несколько позже аналогичная "неприятность" случилась в том же месте с двумя крестьянами. Только крестьяне исчезали лишь на 21 год. Вновь появившись, все эти люди понятия не имели, что они вообще исчезали, где они находились десятки лет и почему они за эти годы совсем не изменились. Подобные истории не часто, но все же случались не только в России, но и в других странах. Существование последовательно - параллельных вселенных эти странные события может объяснить, так как в случае их существования все эти люди могли все эти годы провести в виде "особой" материи физического вакуума, которая по каким-то причинам никак не хотела переходить в возбужденное состояние.

            Следы динозавров вперемежку со следами человеческих ног находили по всему миру: в США, Узбекистане, Туркмении, Китае. В 1968 году в США в штате Юта были обнаружены отпечатки человеческих ног в ботинках с каблуком. Причем левый ботинок раздавил трилобита (трилобиты жили на Земле 400-500 миллионов лет назад), останки которого так и окаменели вместе с отпечатком каблука. И, уж совсем загадочной выглядит находка английских палеонтологов, которые в 2000 году обнаружили близ Девоншира скелет тираннозавра, в желудке которого находился скелет человека.

            Если все эти и многочисленные подобные находки не являются фальсификациями или следствием глюков исследователей, то их можно объяснить исходя из возможного существования последовательно - параллельных вселенных. А, ведь есть еще снежный человек, НЛО и много чего еще.

            Конечно все необъяснимые явления, события и материальные объекты можно объявить не существующими, фальсификациями, заблуждениями, но вот куда девать виртуальные частицы, пустую полость WMAP Cold Spot, локальное ослабление микроволнового излучения, проблему космологических совпадений - взаимное совпадение плотностей физического вакуума и иных форм материи и т. п.?

            Да и не так безобидна проблема существования последовательно - параллельных вселенных. Ведь в один не очень благополучный для нас день мы все вместе со всей нашей галактикой можем превратиться в нечто вроде полости WMAP Cold Spot или рядом с Землей вдруг прямо из физического вакуума появится еще одна планета, а то и того хуже звезда. Могут быть и не столь глобальные неприятности, например, кто-то ухитриться первым разобраться в механизме существования последовательно - параллельных вселенных и разработает на его основе по существу оружие массового поражения, которое будет пострашнее ядерного оружия. Как только такое оружие будет создано, то его обладатель уж точно не удержится от того, чтобы раз и навсегда избавиться от всех, кто живет не так, как надо, исповедует неправильную религию или просто на всякий случай. Перевел их всех неправильных обратно в физический вакуум, откуда они все в конечном итоге и появились. Ответа ведь точно не будет, и узнать о случившемся с ними они тоже не смогут.

            Вот поэтому желательно точно знать существуют или нет последовательно - параллельные вселенные и, если да, то можно ли хоть что-то сделать для того, чтобы избежать всех этих неприятностей.

 

                                                                                                            март 2008 года


Выход на главную страницу
Rambler's Top100
 Ваша оценка:

Связаться с программистом сайта.

Новые книги авторов СИ, вышедшие из печати:
О.Болдырева "Крадуш. Чужие души" М.Николаев "Вторжение на Землю"

Как попасть в этoт список

Кожевенное мастерство | Сайт "Художники" | Доска об'явлений "Книги"